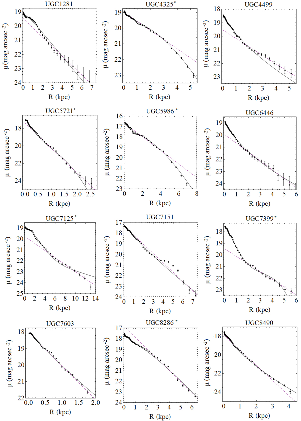
Fig. 1.

Exponential disk model (purple dashed line) from the SPARC database and Tempel–Tenjes disk model in the present paper, or bulge+disk model (black continuous line) of the 12 dwarf galaxies. The 3.6 μm SPARC surface brightness data are presented as black dots with error bars. The superscript star (⋆) indicates galaxies with a two-component stellar model (bulge+disk).
Current usage metrics show cumulative count of Article Views (full-text article views including HTML views, PDF and ePub downloads, according to the available data) and Abstracts Views on Vision4Press platform.
Data correspond to usage on the plateform after 2015. The current usage metrics is available 48-96 hours after online publication and is updated daily on week days.
Initial download of the metrics may take a while.