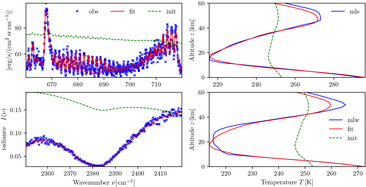
Fig. 11

Comparison of observed, final fit, and initial guess spectra (left) and true, fitted, and initial guess temperature profiles (right). The initial guess temperature profiles are identical in both cases. Top: TIR 15 μm for midlatitude summer (mls), Gaussian response with Γ = 0.25 cm−1. Bottom: TIR 4 μm for midlatitude winter (mlw), Gauss Γ = 1.0 cm−1; both with S∕N = 25.
Current usage metrics show cumulative count of Article Views (full-text article views including HTML views, PDF and ePub downloads, according to the available data) and Abstracts Views on Vision4Press platform.
Data correspond to usage on the plateform after 2015. The current usage metrics is available 48-96 hours after online publication and is updated daily on week days.
Initial download of the metrics may take a while.