Free Access
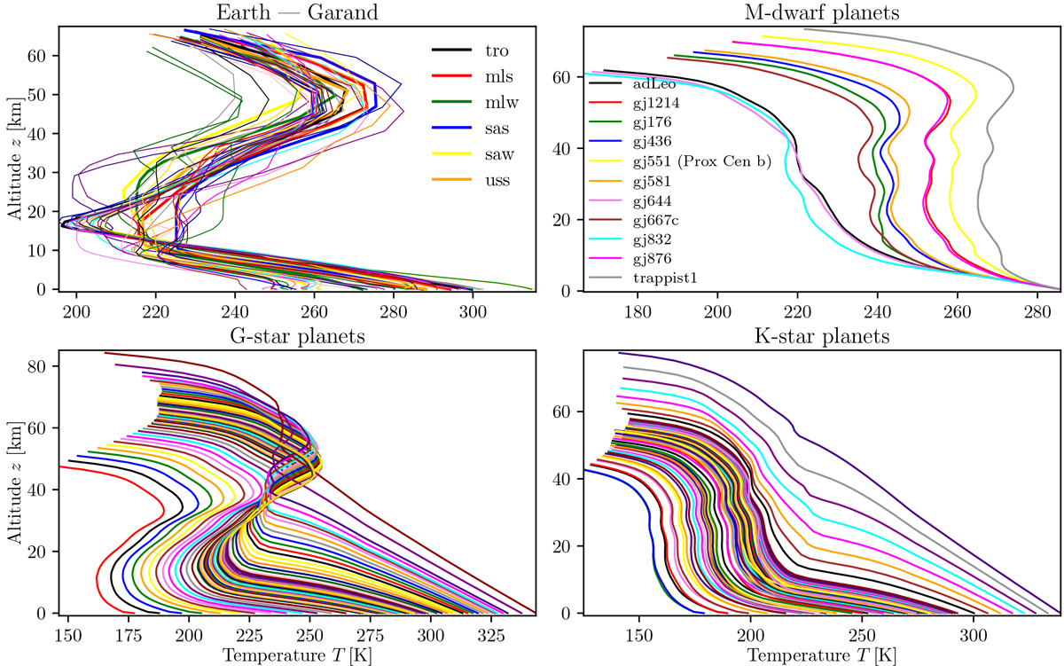
Fig. 3

Temperature profiles of the 42 Earth–Garand atmospheres. Top left: legend identifies the first six atmospheres: tropical, midlatitude summer and winter, subarctic summer and winter, and US standard. M-dwarf planets are in the top right and G- and K-star planets are at the bottom.
Current usage metrics show cumulative count of Article Views (full-text article views including HTML views, PDF and ePub downloads, according to the available data) and Abstracts Views on Vision4Press platform.
Data correspond to usage on the plateform after 2015. The current usage metrics is available 48-96 hours after online publication and is updated daily on week days.
Initial download of the metrics may take a while.