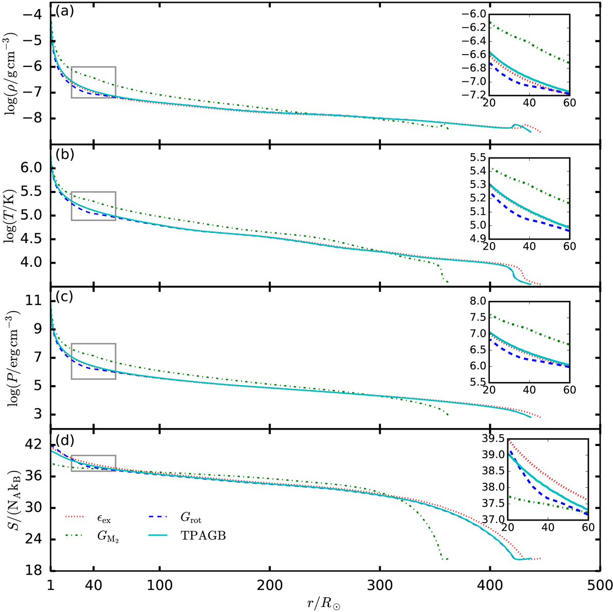
Fig. 5.

Profiles of the local density, ρ; temperature, T; pressure, P; and specific entropy, S, in the envelopes of the canonical TPAGB star (cyan solid line) and the cases with only the effect of extra heating (red dotted line), rotation (blue dashed line), and the companion’s gravity (green dash-dot line) at a point between two thermal pulses (t = 3500 yr). In each panel the inset shows an enlargement of the area within the grey box.
Current usage metrics show cumulative count of Article Views (full-text article views including HTML views, PDF and ePub downloads, according to the available data) and Abstracts Views on Vision4Press platform.
Data correspond to usage on the plateform after 2015. The current usage metrics is available 48-96 hours after online publication and is updated daily on week days.
Initial download of the metrics may take a while.