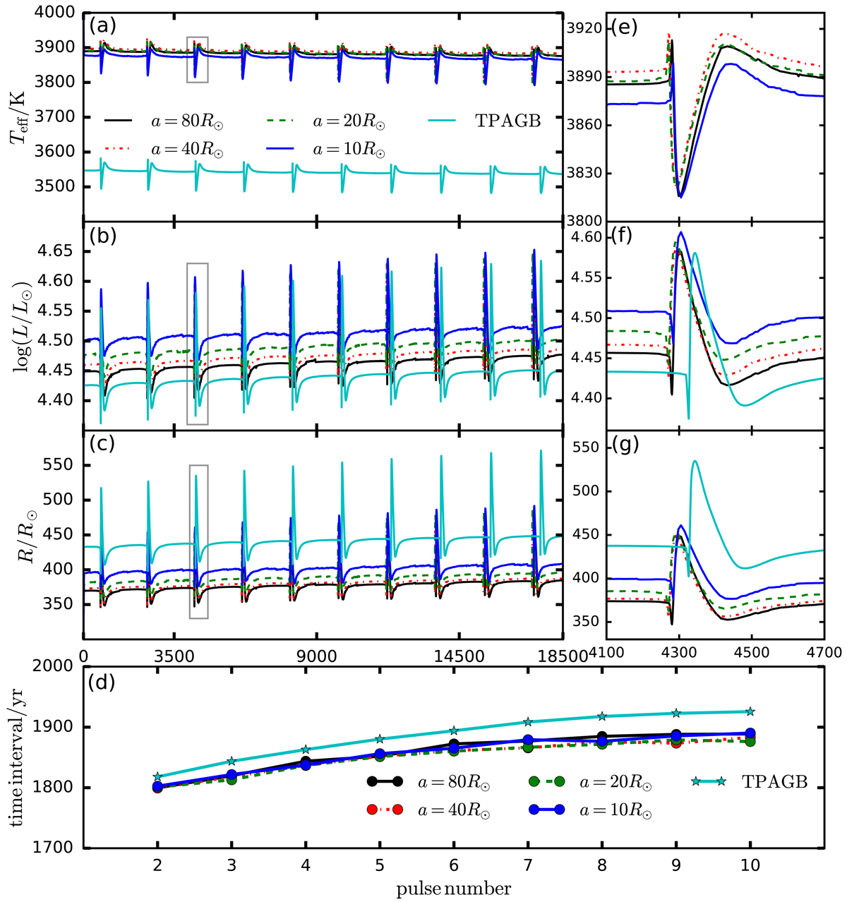
Fig. 7.

Evolution of the effective temperature, Teff; the luminosity, L; the radius, R; and the time interval between two adjacent pulses for the canonical TPAGB star (cyan point line) and the cases with all three effects and a = 10 R⊙ (blue solid line), 20 R⊙ (green dashed line), 40 R⊙ (red dash-dot line), and 80 R⊙ (black dotted line), respectively. The right panels are enlargements of the grey boxes in the left panels.
Current usage metrics show cumulative count of Article Views (full-text article views including HTML views, PDF and ePub downloads, according to the available data) and Abstracts Views on Vision4Press platform.
Data correspond to usage on the plateform after 2015. The current usage metrics is available 48-96 hours after online publication and is updated daily on week days.
Initial download of the metrics may take a while.