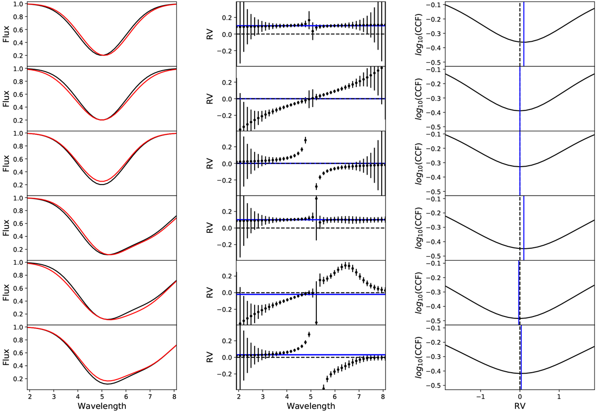
Fig. B.3

Simulation showing how symmetric flux variations can introduce a spurious RV shift for an asymmetric line profile. All the units are arbitrary. Left column: initial line profile (black curve) compared to the profile modified by the active regions (red curve). Middle column: RV derivation according to the linearisation of the Doppler shift (Bouchy et al. 2001). The RV is the weighted average of the local RVs. The uncertainties are at first order inversely proportional to the derivative of the flux. The zero RV (dashed line) is compared to the measured RV (blue line). Right column: RV derived using the barycentre of the CCF. First row: a 0.1 Doppler shift on a symmetric line profile, the Bouchy and CCF method extract the correct RV shift. Second row: change in width of a line induced by Zeeman broadening, pressure broadening, or other effects (Brandt & Solanki 1990). The extracted RV shift is null because each modification of the left wing is compensated for by the same modification of the right wing. Third row: depth modification induced by temperature-sensitive lines. Again, no RV shift is measured. Fourth–sixth rows: same as the three first rows, but a blend was inserted on the right side of the line. We note that in this case, the symmetric variations introduce a spurious RV shift. This RV shift would be inverted if the blend were inserted on the left wings instead of the right wing.
Current usage metrics show cumulative count of Article Views (full-text article views including HTML views, PDF and ePub downloads, according to the available data) and Abstracts Views on Vision4Press platform.
Data correspond to usage on the plateform after 2015. The current usage metrics is available 48-96 hours after online publication and is updated daily on week days.
Initial download of the metrics may take a while.