Free Access

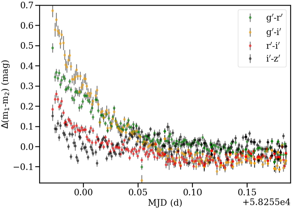
Fig. 10

image

Color variations in dip observed with high-cadence data. We see that the eclipse is not deep enough to show significant variations in the extinction law, although some of the UXor behavior is seen, especially in i′ − z′.

Current usage metrics show cumulative count of Article Views (full-text article views including HTML views, PDF and ePub downloads, according to the available data) and Abstracts Views on Vision4Press platform.

Data correspond to usage on the plateform after 2015. The current usage metrics is available 48-96 hours after online publication and is updated daily on week days.

Initial download of the metrics may take a while.