Open Access

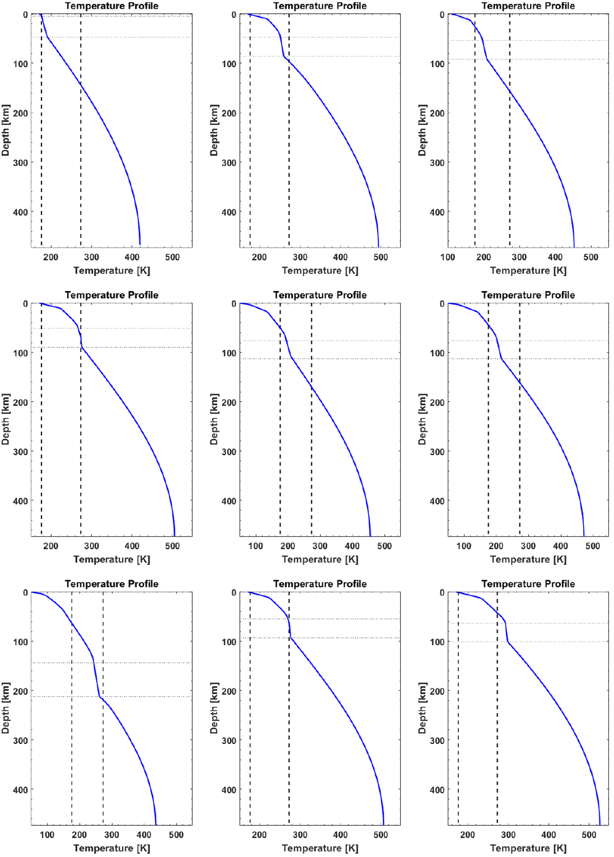
Fig. 9

image

Present temperature profiles for the cases shown in Figs. 57 in the same order as in Fig. 8. Dotted horizontal lines label the extension of the pure H2 O layer, dashed vertical lines correspond to the melting point of ammonia dihydrate of 176 K and to that of pure H2O ice of 273 K.

Current usage metrics show cumulative count of Article Views (full-text article views including HTML views, PDF and ePub downloads, according to the available data) and Abstracts Views on Vision4Press platform.

Data correspond to usage on the plateform after 2015. The current usage metrics is available 48-96 hours after online publication and is updated daily on week days.

Initial download of the metrics may take a while.