Free Access
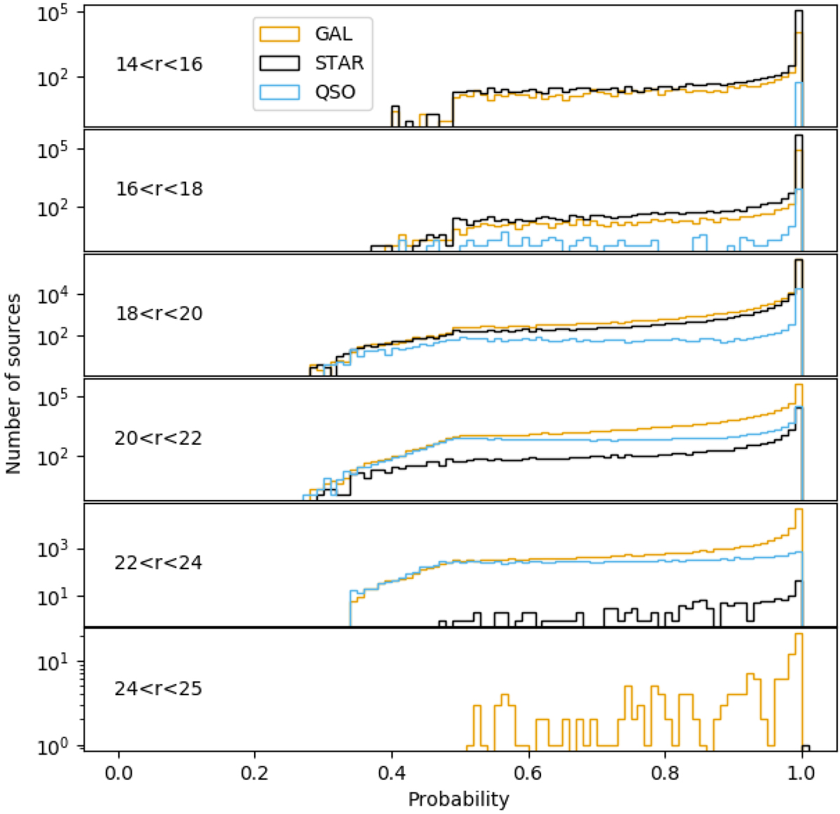
Fig. 21.

Probability distributions for the KiDSVW sample for six different r magnitude bins are shown. The classification probability of each object is obtained using the “highest-probability” method (see Sect. 5.3). The objects are in classes according to their “highest-probability” final label.
Current usage metrics show cumulative count of Article Views (full-text article views including HTML views, PDF and ePub downloads, according to the available data) and Abstracts Views on Vision4Press platform.
Data correspond to usage on the plateform after 2015. The current usage metrics is available 48-96 hours after online publication and is updated daily on week days.
Initial download of the metrics may take a while.