Free Access
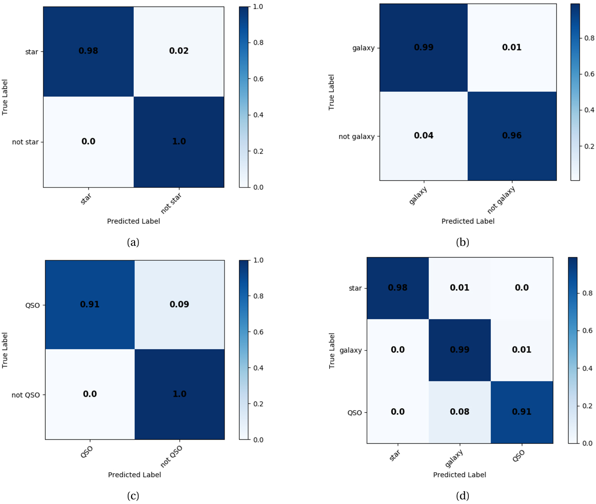
Fig. 7.

Confusion matrices of post-consolidation predicted labels using colour and HLR input attributes. (a) STAR (b) GAL, (c) QSO and (d) the combined output. We note that for panel d, the predicted label “post-consolidation outlier” is not shown, hence the star and QSO rows’ values do not sum to 1.
Current usage metrics show cumulative count of Article Views (full-text article views including HTML views, PDF and ePub downloads, according to the available data) and Abstracts Views on Vision4Press platform.
Data correspond to usage on the plateform after 2015. The current usage metrics is available 48-96 hours after online publication and is updated daily on week days.
Initial download of the metrics may take a while.