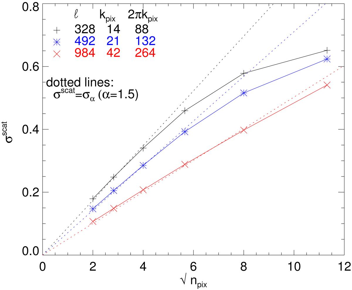
Fig. B.1.

Standard deviation of the logarithm of chi-square distributed white noise rebinned on the annulus with the radius of kpix pixels, σscat, is plotted against the square-root of the pixel number on the annulus after rebinning, , at three kpix shown with different symbols in different colors. In the case of npix ≪ 2πkpix, σscat = σα(α = 1.5), which is shown with the dotted lines, is a valid approximation, while in the limit of npix ≳ 2πkpix, σscat deviates from σα and approaches a constant of 2/3.
Current usage metrics show cumulative count of Article Views (full-text article views including HTML views, PDF and ePub downloads, according to the available data) and Abstracts Views on Vision4Press platform.
Data correspond to usage on the plateform after 2015. The current usage metrics is available 48-96 hours after online publication and is updated daily on week days.
Initial download of the metrics may take a while.