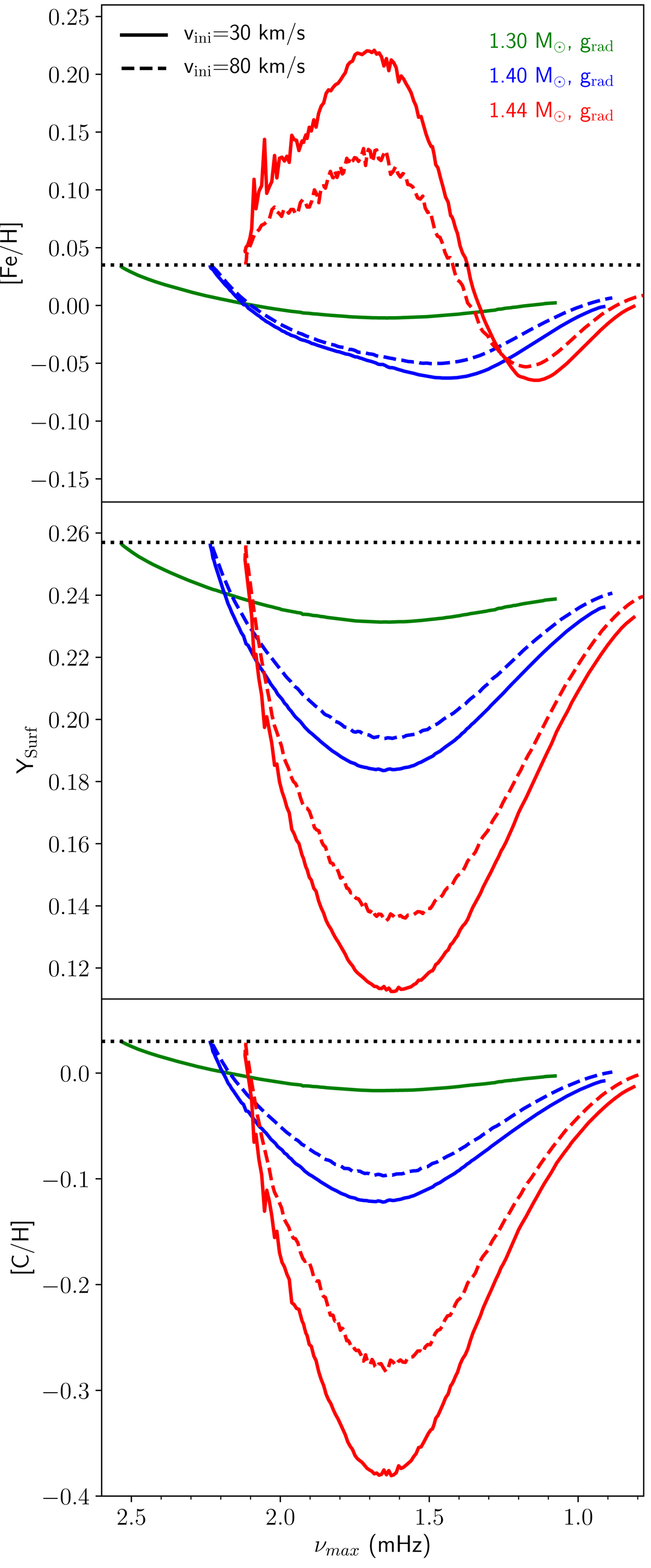
Fig. 1.

Evolution of the surface [Fe/H] in dex (top panel), helium YSurf in mass fraction (middle panel), and the surface [C/H] in dex (lower panel) as a function of νmax for different masses and initial rotation speeds for models including atomic diffusion with radiative acceleration. Horizontal dotted lines represent the initial abundance. The models are A1, B1, B2, C1, and C2 from Table 1.
Current usage metrics show cumulative count of Article Views (full-text article views including HTML views, PDF and ePub downloads, according to the available data) and Abstracts Views on Vision4Press platform.
Data correspond to usage on the plateform after 2015. The current usage metrics is available 48-96 hours after online publication and is updated daily on week days.
Initial download of the metrics may take a while.