Free Access
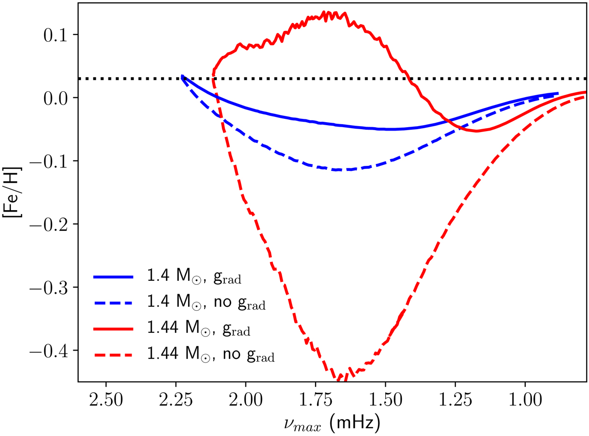
Fig. 2.

Evolution of the surface [Fe/H] in dex with νmax for 1.4 M⊙ models (B2 and B4) and 1.44 M⊙ models (C2 and C4) with an initial rotation speed of 80 km s−1. Models including atomic diffusion with (respectively without) radiative acceleration are shown with solid (respectively dashed) lines.
Current usage metrics show cumulative count of Article Views (full-text article views including HTML views, PDF and ePub downloads, according to the available data) and Abstracts Views on Vision4Press platform.
Data correspond to usage on the plateform after 2015. The current usage metrics is available 48-96 hours after online publication and is updated daily on week days.
Initial download of the metrics may take a while.