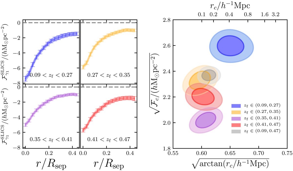
Fig. 3.

Redshift evolution of the filament signal in the noise-free SLICS simulation. Left panel: ℱγ1 signal measured from filament candidates in SLICS for four redshift quantiles. Right panel: 68% and 95% confidence region of the model parameters (ℱc, rc) from the corresponding signal in the left panel, with the result from all samples combined shown in grey.
Current usage metrics show cumulative count of Article Views (full-text article views including HTML views, PDF and ePub downloads, according to the available data) and Abstracts Views on Vision4Press platform.
Data correspond to usage on the plateform after 2015. The current usage metrics is available 48-96 hours after online publication and is updated daily on week days.
Initial download of the metrics may take a while.