Free Access
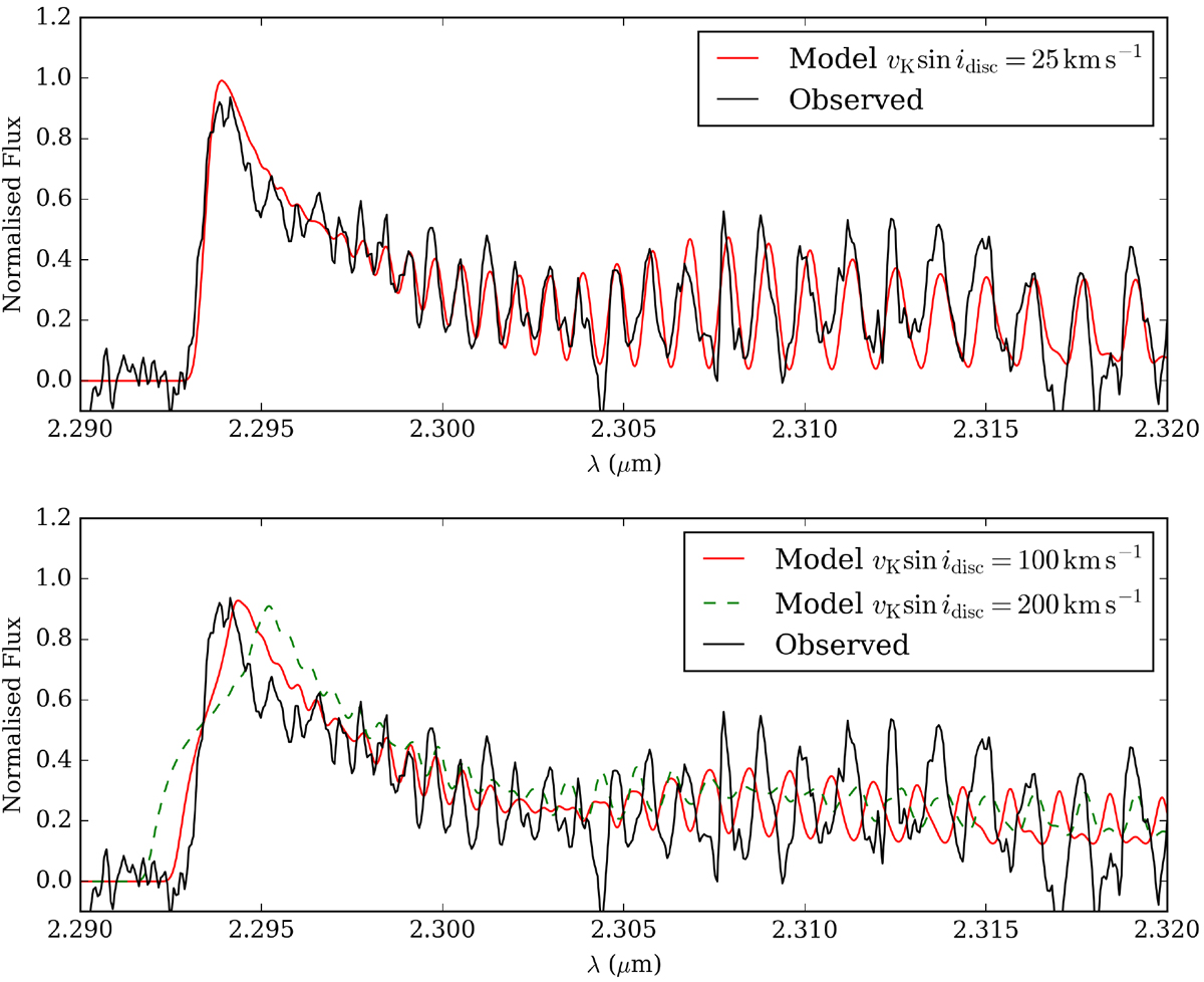
Fig. A.1

Top panel: VLT/X-shooter spectrum of the first CO bandhead emission (black) and the LTE model spectrum (red) obtained for T = 3000 K, N(CO) = 1 × 1022 cm−2, vK sin idisc = 25 km s−1, and Δv = 10 km s−1. Bottom panel: same as top panel but with vK sin idisc = 100 km s−1 (red solid line) and 200 km s−1 (green dashed line).
Current usage metrics show cumulative count of Article Views (full-text article views including HTML views, PDF and ePub downloads, according to the available data) and Abstracts Views on Vision4Press platform.
Data correspond to usage on the plateform after 2015. The current usage metrics is available 48-96 hours after online publication and is updated daily on week days.
Initial download of the metrics may take a while.