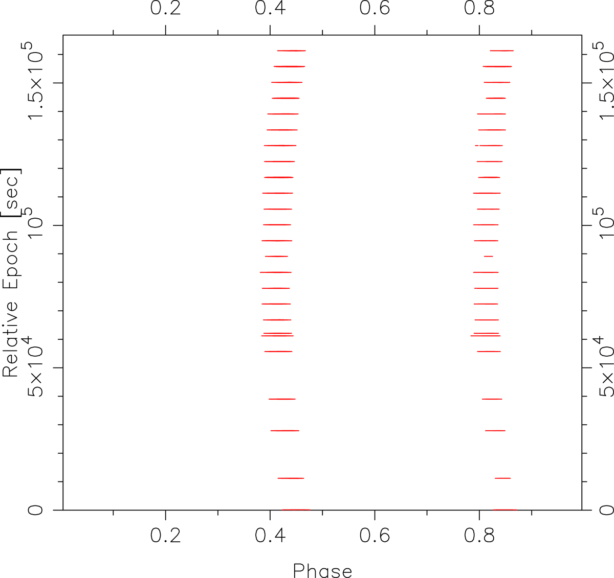
Fig. A.1.

Contour plot of the combined data of the ObsIDs 1013010116, 1013010117, and 1013010118, after alignment using initial ν and , whose estimation is explained in Appendix A. The total data duration is about 170 ks, while the abscissa is the phase of the photon event. Contrast has been adjusted to highlight the main pulse of the Crab pulsar, so the rest of the data may not be visible, but for parts of the inter pulse data.
Current usage metrics show cumulative count of Article Views (full-text article views including HTML views, PDF and ePub downloads, according to the available data) and Abstracts Views on Vision4Press platform.
Data correspond to usage on the plateform after 2015. The current usage metrics is available 48-96 hours after online publication and is updated daily on week days.
Initial download of the metrics may take a while.