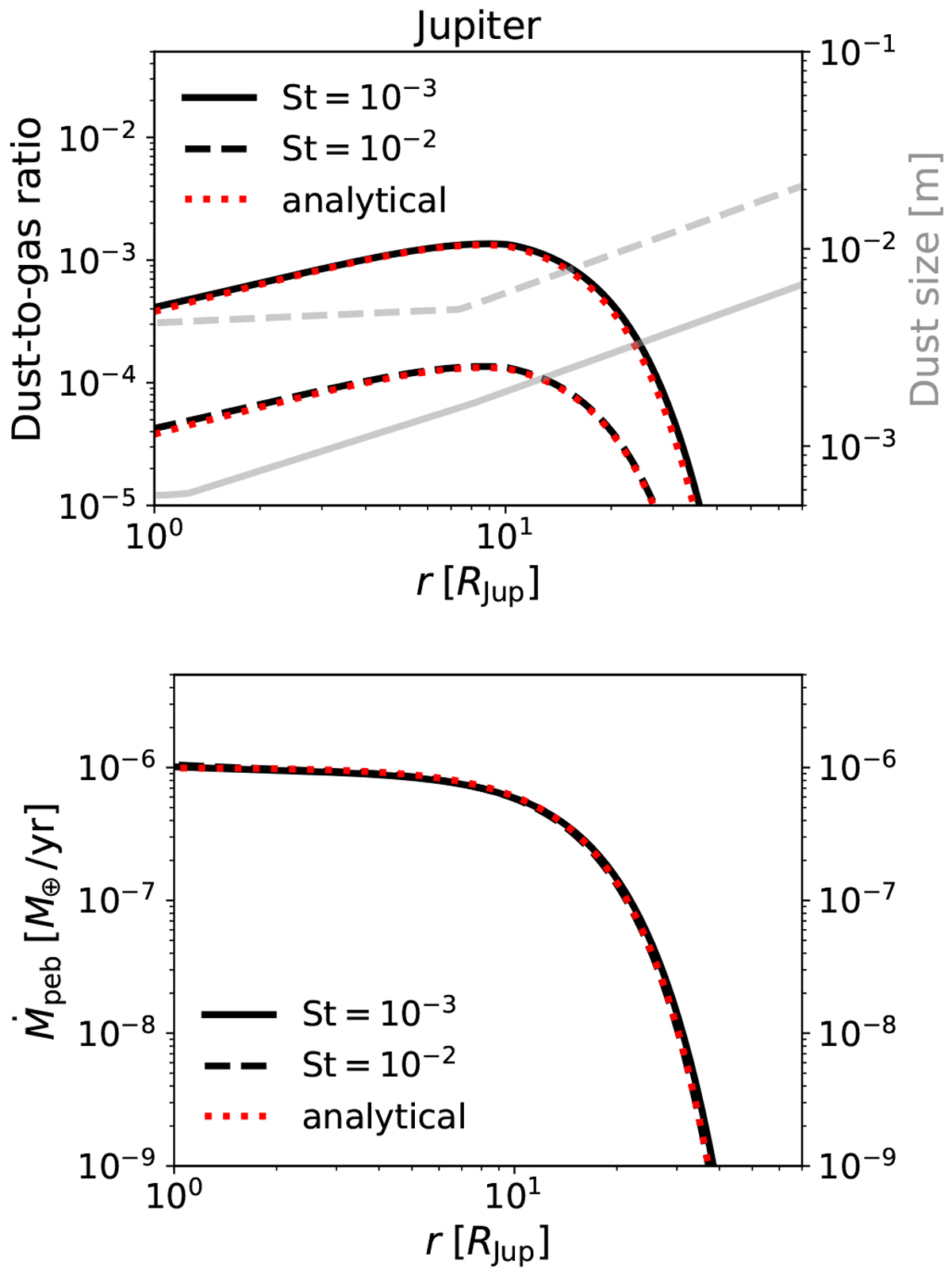
Fig. 6

Top: dust-to-gas mass ratio in the circum-planetary disk of a Jupiter-mass planet for pebbles Stokes number of 10−3 (black solid lines) and 10−2 (black dashed lines), assuming a characteristic radius of deposition of ablated material r0 = 10 RJup and a global supply rate Ṁ0 = 1 M⊕ Myr−1, obtained through numerical integration of the advection-diffusion equation of the evolution of the dust surface density after 5 × 103 yr of integration. The red dotted curves show the corresponding analytical steady-state solutionsgiven by Eq. (32). The gray curves show the physical size of pebbles as a function of distance from the planet corresponding to Stokes number of 10−3 (solid) and 10−2 (dashed). Bottom: radial flux of pebbles through the CPD for the two considered Stokes number of the pebbles (overlapping black curves), along with the steady-state solution where
(red dotted curve).
Current usage metrics show cumulative count of Article Views (full-text article views including HTML views, PDF and ePub downloads, according to the available data) and Abstracts Views on Vision4Press platform.
Data correspond to usage on the plateform after 2015. The current usage metrics is available 48-96 hours after online publication and is updated daily on week days.
Initial download of the metrics may take a while.