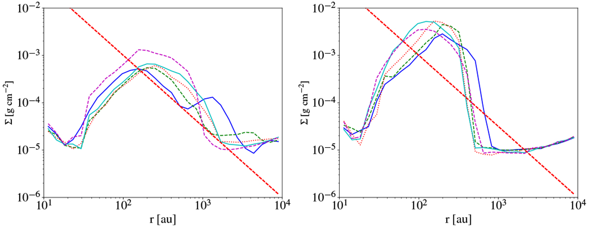
Fig. 7

Azimuthally averaged column density in the planes. The column densities are computed perpendicular to the orientation of the angular momentum vector for run IrrI1_t. The profiles correspond to the times represented in the projection plots in Fig. 6. Left panel: t1 = 4 tdyn (blue solid), t2 = 8 tdyn (green dashed), t3 = 12 tdyn (red dotted),t4 = 16 (cyan solid), and t5 = 20 tdyn (purple dashed); right panel: t6 = 24 tdyn (blue solid), t7 = 28 tdyn (green dashed), t8 = 32 tdyn (red dotted),t9 = 36 tdyn (cyan solid), and t10 = 39 tdyn (purple dashed). The red dashed line corresponds to the profile of the MMSN,
.
Current usage metrics show cumulative count of Article Views (full-text article views including HTML views, PDF and ePub downloads, according to the available data) and Abstracts Views on Vision4Press platform.
Data correspond to usage on the plateform after 2015. The current usage metrics is available 48-96 hours after online publication and is updated daily on week days.
Initial download of the metrics may take a while.