Fig. 25

image

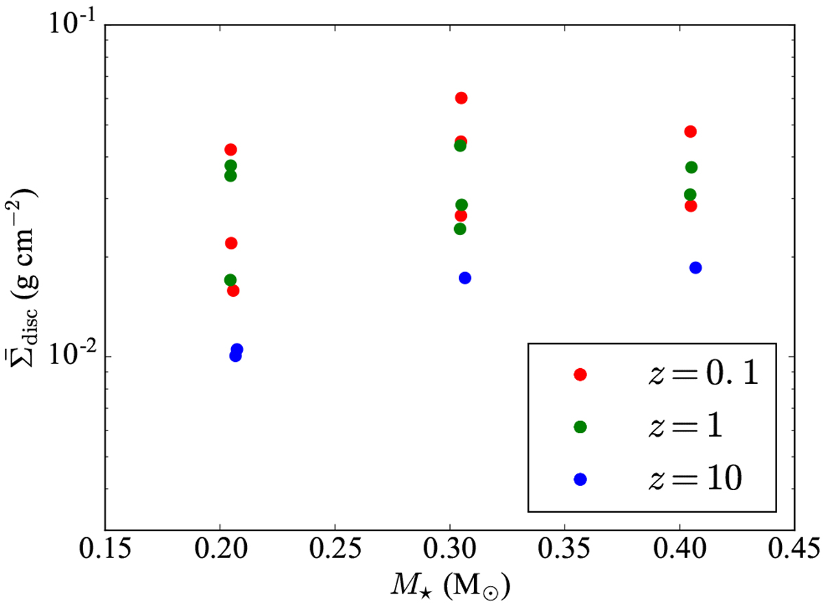
Average surface density of the discs at the time they fragment where, . We find that a lower average surface density is required for fragmentation when the disc metallicity is higher.

Current usage metrics show cumulative count of Article Views (full-text article views including HTML views, PDF and ePub downloads, according to the available data) and Abstracts Views on Vision4Press platform.

Data correspond to usage on the plateform after 2015. The current usage metrics is available 48-96 hours after online publication and is updated daily on week days.

Initial download of the metrics may take a while.