Fig. 4

image

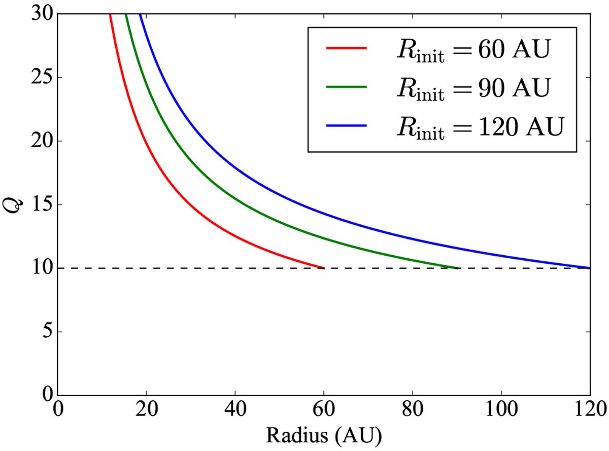
Toomre parameter, Q as a functionof the radius for discs with outer extents Rinit = [60,  90,  120] AU. The dashed black line represents a value of Q = 10, the Toomre parameter value at the disc outer edge. Each disc is initially stable at all radii.

Current usage metrics show cumulative count of Article Views (full-text article views including HTML views, PDF and ePub downloads, according to the available data) and Abstracts Views on Vision4Press platform.

Data correspond to usage on the plateform after 2015. The current usage metrics is available 48-96 hours after online publication and is updated daily on week days.

Initial download of the metrics may take a while.