Open Access

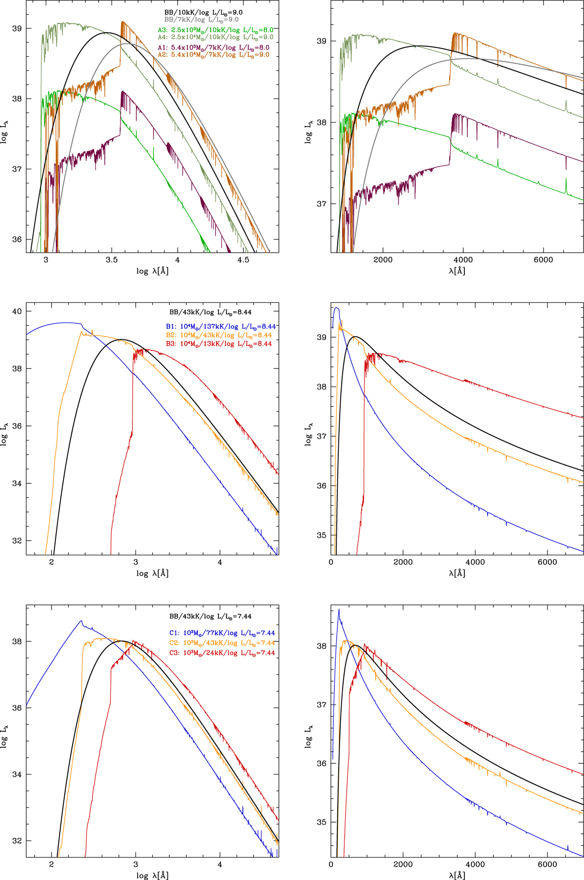
Fig. 2.

image

Spectral energy distribution (in units of erg−1 s−1 Å−1) for the models whose stellar parameters are summarized in Table 1. Right panels: zoom on the UV-optical part of the spectrum. The stellar parameters of each model are given in the left panel. The black and gray lines are blackbody spectra.

Current usage metrics show cumulative count of Article Views (full-text article views including HTML views, PDF and ePub downloads, according to the available data) and Abstracts Views on Vision4Press platform.

Data correspond to usage on the plateform after 2015. The current usage metrics is available 48-96 hours after online publication and is updated daily on week days.

Initial download of the metrics may take a while.