Open Access

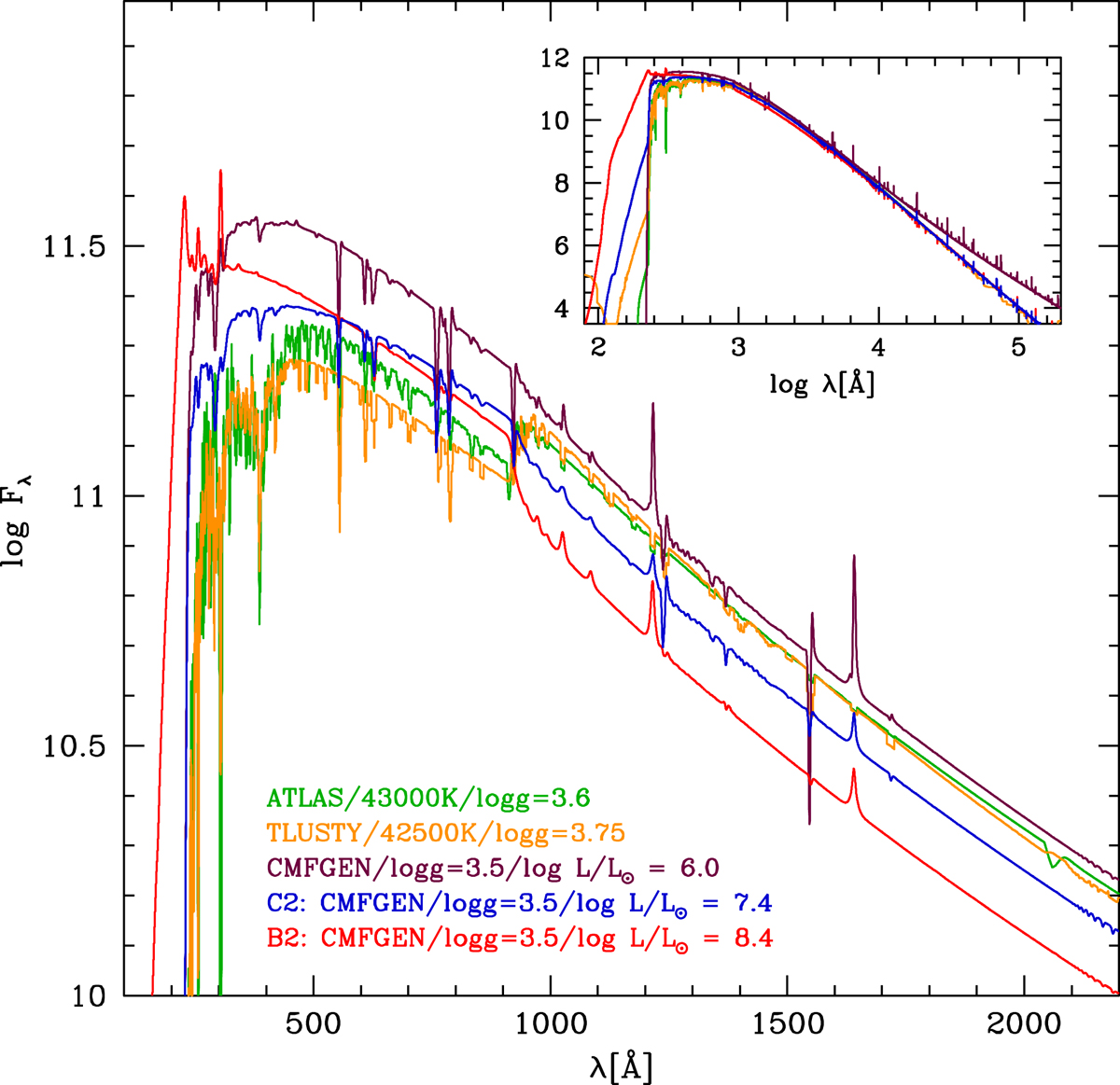
Fig. 9.

image

Comparison between the SED of our model B2 (red) and C2 (blue) and (1) an ATLAS model with the same Teff and a slightly higher log g (green), (2) a TLUSTY model with Teff = 42500 K/log g = 3.75 (orange), and (3) a CMFGEN model with luminosity reduced to = 6.0 (dark red). The fluxes are given in erg−1 s−1 Å−1 cm−2.

Current usage metrics show cumulative count of Article Views (full-text article views including HTML views, PDF and ePub downloads, according to the available data) and Abstracts Views on Vision4Press platform.

Data correspond to usage on the plateform after 2015. The current usage metrics is available 48-96 hours after online publication and is updated daily on week days.

Initial download of the metrics may take a while.