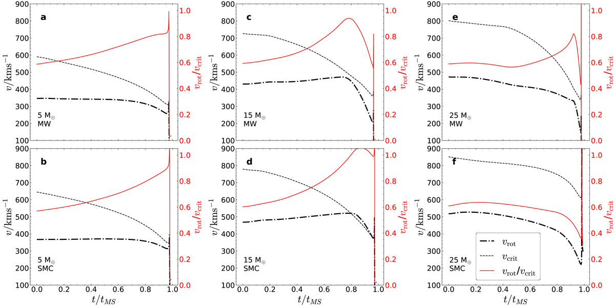
Fig. 2.

Evolution of equatorial rotational velocity vrot (thick dot-dashed), critical velocity vcrit (dashed), and the critical velocity fraction vrot/vcrit (solid red) for 5 M⊙ (panels a, b), 15 M⊙ (panels c, d), and 25 M⊙ (panels e, f) models at MW metallicity (panels a, c, e) and SMC metallicity (panels b, d, f). The initial critical velocity fraction values are all approximately 0.6. The X-axis indicates the fractional main sequence lifetime, t/tMS.
Current usage metrics show cumulative count of Article Views (full-text article views including HTML views, PDF and ePub downloads, according to the available data) and Abstracts Views on Vision4Press platform.
Data correspond to usage on the plateform after 2015. The current usage metrics is available 48-96 hours after online publication and is updated daily on week days.
Initial download of the metrics may take a while.