Free Access

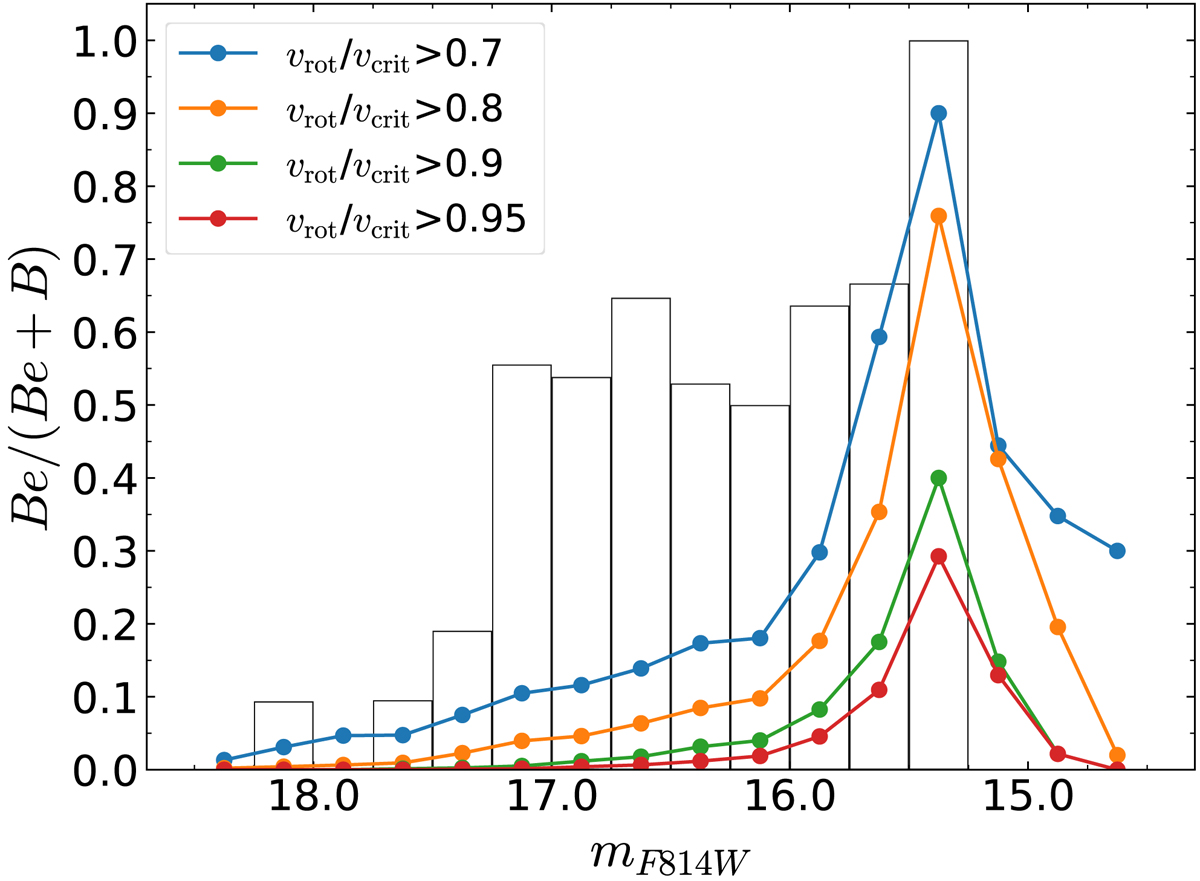
Fig. 8.

image

Histogram of the Be fraction of stars in SMC cluster NGC 330 (Milone et al. 2018) as a function of apparent magnitude in the Hubble Space Telescope Wide-field Camera 3 filter F814W, mF814W plotted as white columns. It is assumed that Hα emitters are Be stars. Over plotted as coloured lines are our model predictions in the same magnitude bins for various minimum rotation rates to be counted as a Be star, as given in the legend.

Current usage metrics show cumulative count of Article Views (full-text article views including HTML views, PDF and ePub downloads, according to the available data) and Abstracts Views on Vision4Press platform.

Data correspond to usage on the plateform after 2015. The current usage metrics is available 48-96 hours after online publication and is updated daily on week days.

Initial download of the metrics may take a while.