Open Access

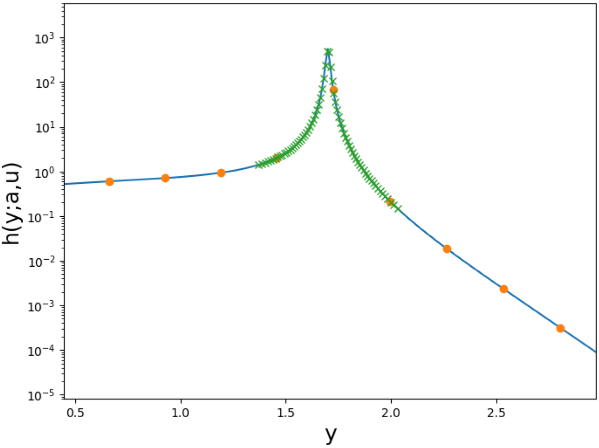
Fig. 2.

image

Example of distribution of nodes for an initial Gauss–Hermite quadrature of order k = 70 (dots), and for our adaptive Gaussian quadrature centered at the Lorentzian peak (crosses).

Current usage metrics show cumulative count of Article Views (full-text article views including HTML views, PDF and ePub downloads, according to the available data) and Abstracts Views on Vision4Press platform.

Data correspond to usage on the plateform after 2015. The current usage metrics is available 48-96 hours after online publication and is updated daily on week days.

Initial download of the metrics may take a while.