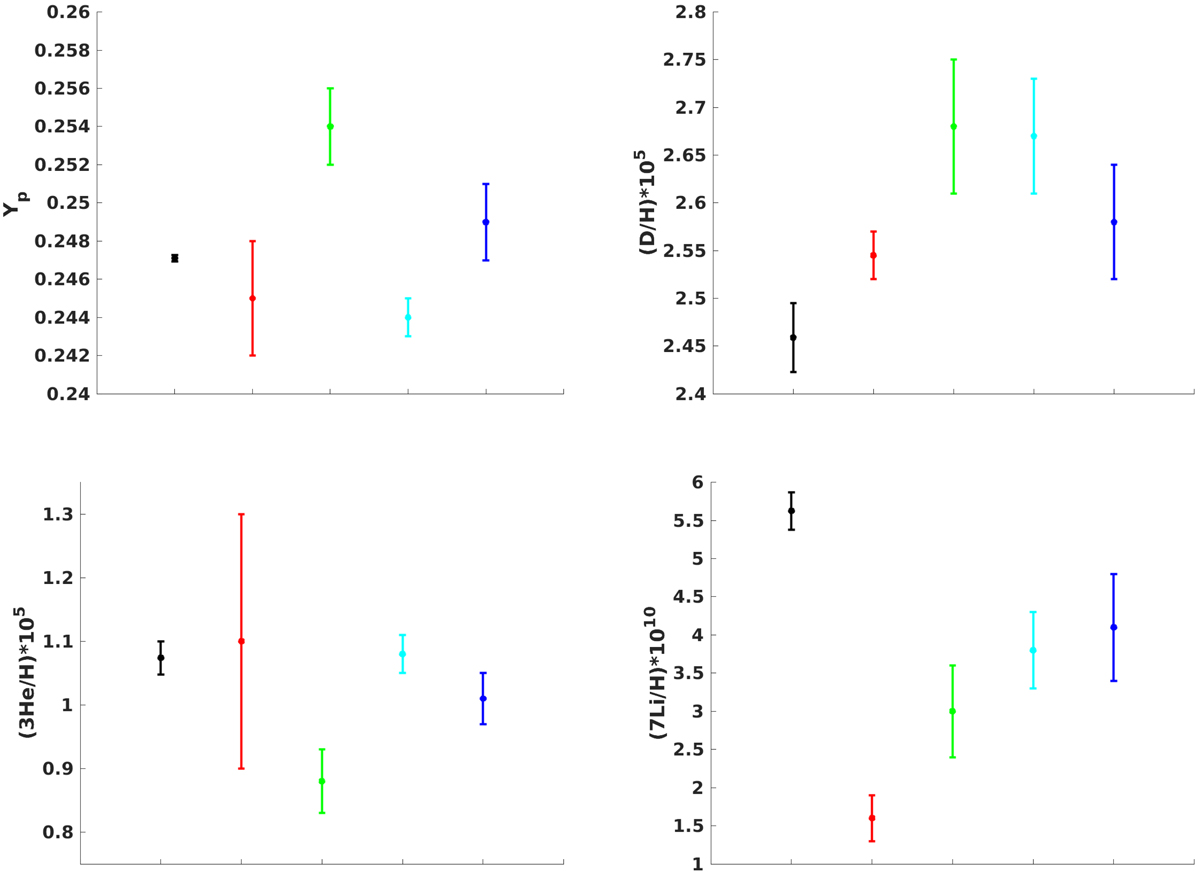
Fig. A.3.

Graphical comparison of the data in Tables 2 and 5 for each of the four nuclides. In each panel the black points are the standard theoretical values of Pitrou et al. (2018), the red points are the observed abundances, and the green, cyan, and blue points are the expected values in the Unification, Dilaton, and Clocks cases considered in the present work. One sigma uncertainties have been depicted in all cases.
Current usage metrics show cumulative count of Article Views (full-text article views including HTML views, PDF and ePub downloads, according to the available data) and Abstracts Views on Vision4Press platform.
Data correspond to usage on the plateform after 2015. The current usage metrics is available 48-96 hours after online publication and is updated daily on week days.
Initial download of the metrics may take a while.