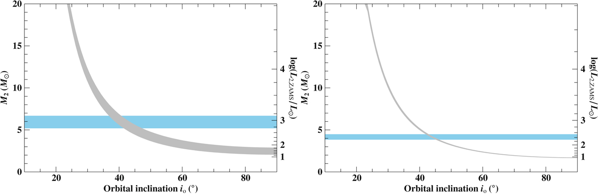
Fig. A.5.

Mass of the secondary component as a function of the orbital inclination io: primary masses M1 of 1.1 ± 0.5 M⊙ (left panel; see Table A.2) and 0.315 ± 0.015 M⊙ (right panel; see Fig. A.6) are used to numerically solve Eq. (1) for M2. The width of the gray shaded region reflects all 1σ-uncertainties. The y-axis on the right-hand-side shows the luminosity of a zero-age main sequence (ZAMS) star with mass M2 based on evolutionary tracks for nonrotating stars of solar metallicity (Ekström et al. 2012). The light-blue shaded horizontal bar represents the inferred luminosity of the visible B-type primary, log(L1/L⊙). For high orbital inclinations, a relatively unevolved low-mass MS companion could be outshined by its primary by more than one (right panel) to almost two (left panel) orders of magnitude, which could be faint enough to avoid imprints in the observed spectrum.
Current usage metrics show cumulative count of Article Views (full-text article views including HTML views, PDF and ePub downloads, according to the available data) and Abstracts Views on Vision4Press platform.
Data correspond to usage on the plateform after 2015. The current usage metrics is available 48-96 hours after online publication and is updated daily on week days.
Initial download of the metrics may take a while.