Free Access
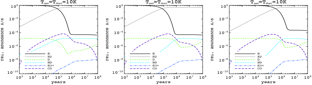
Fig. 4

H, H2, D, HD, and physisorbed H as function of time at 10 K for three models of H2 and HD formation. Left model: surface chemistry model without chemisorption species; middle panel: model with the analytical Cazaux formation model and right panel: utilises the H2 formation model of Jura (1974, 1975a,b).
Current usage metrics show cumulative count of Article Views (full-text article views including HTML views, PDF and ePub downloads, according to the available data) and Abstracts Views on Vision4Press platform.
Data correspond to usage on the plateform after 2015. The current usage metrics is available 48-96 hours after online publication and is updated daily on week days.
Initial download of the metrics may take a while.