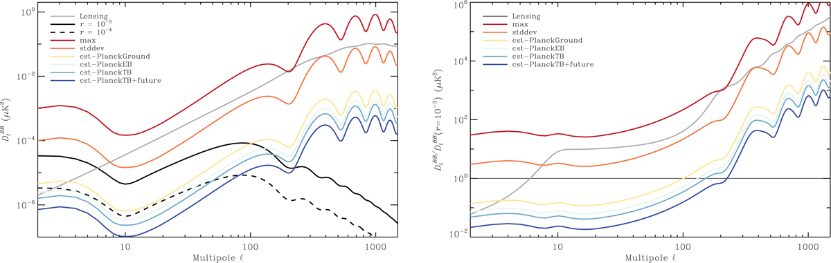
Fig. 2.

Left panel: power spectrum bias from E − B mixing due to the miscalibration of the absolute polarisation angle. This bias is plotted for the different absolute calibration errors ΔψGal presented in Sect. 2 (from red to blue, see legend). The Planck Collaboration XIII (2016)ΛCDM best-fit
primordial tensor model for r = 10−3 and r = 10−4 (solid and dashed black lines, respectively) and
lensing model (grey line) are also displayed. Right panel: same as the left panel, but relative to the primordial tensor model for r = 10−3.
Current usage metrics show cumulative count of Article Views (full-text article views including HTML views, PDF and ePub downloads, according to the available data) and Abstracts Views on Vision4Press platform.
Data correspond to usage on the plateform after 2015. The current usage metrics is available 48-96 hours after online publication and is updated daily on week days.
Initial download of the metrics may take a while.