Open Access
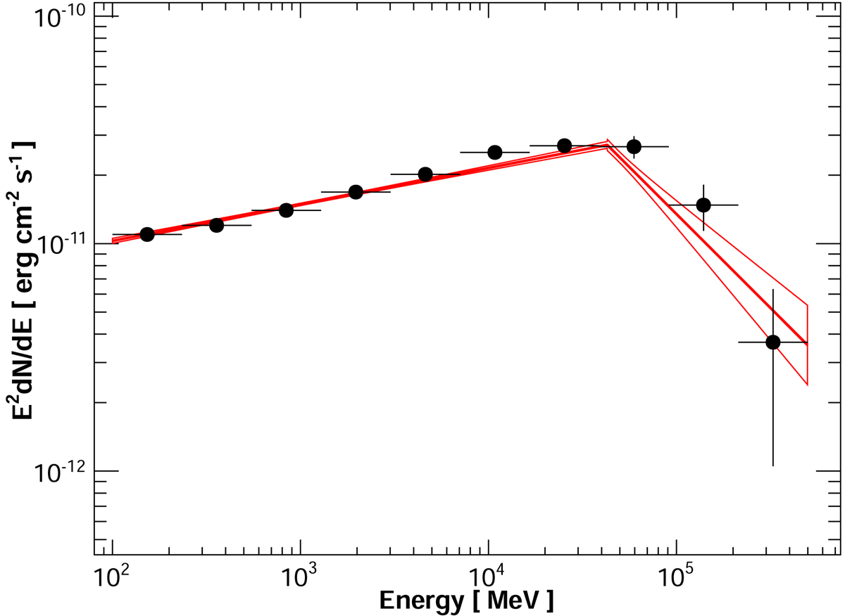
Fig. 1.

SED of PKS 0447−439 in the energy band of 100 MeV to 500 GeV as extracted from the complete data set (2008−2018) along with a Broken Power Law fit (solid red line). The regions show the 1σ confidence intervals resulting from the fit with BPL. The resulting break energy is Eb = 42.84 ± 1.78.
Current usage metrics show cumulative count of Article Views (full-text article views including HTML views, PDF and ePub downloads, according to the available data) and Abstracts Views on Vision4Press platform.
Data correspond to usage on the plateform after 2015. The current usage metrics is available 48-96 hours after online publication and is updated daily on week days.
Initial download of the metrics may take a while.