Free Access

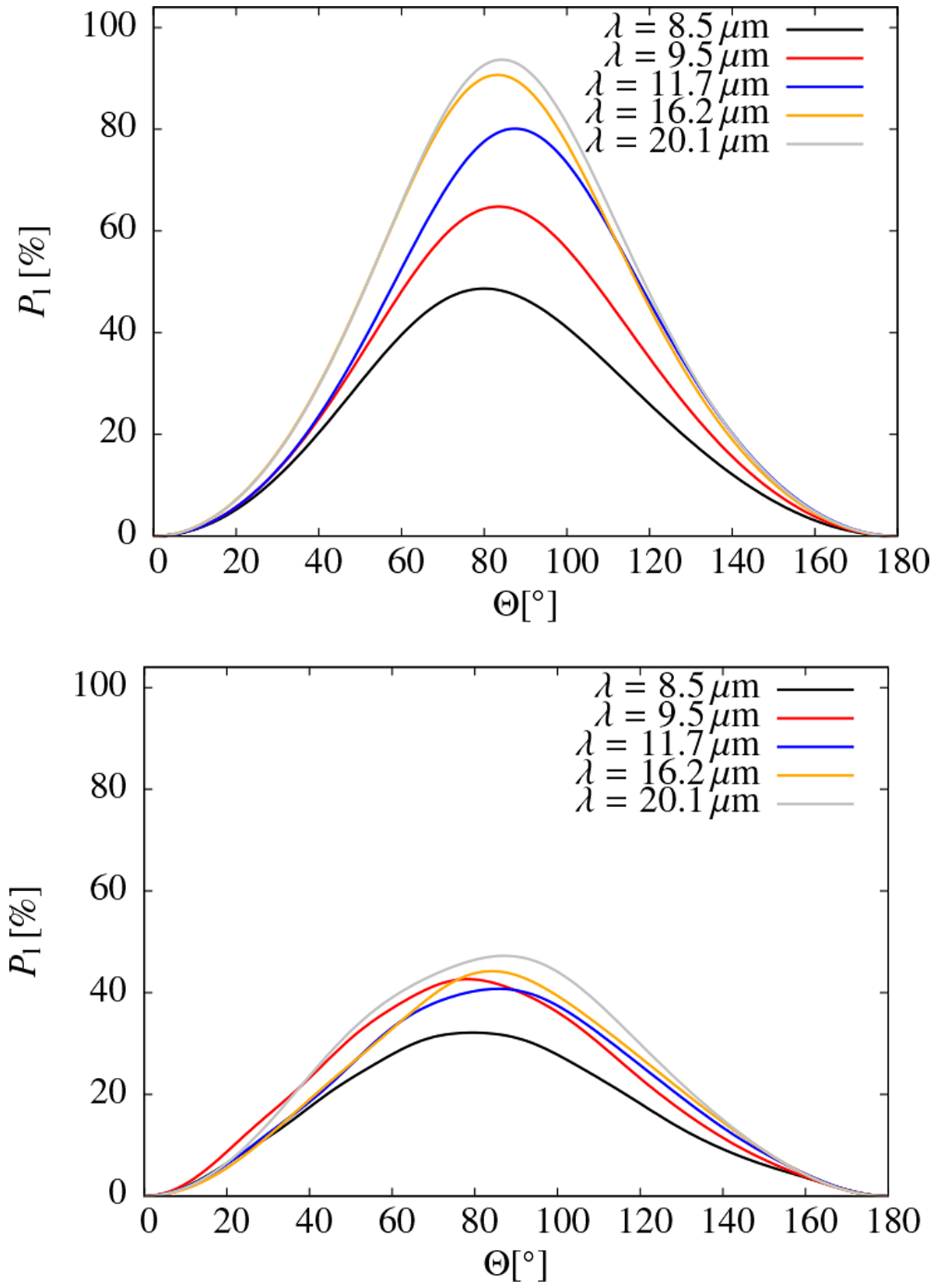
Fig. 8

image

Comparison of the expected linear polarization degree as a function of the scattering angle Θ for grain size distributions with a maximum grain radius of amax = 2.5 μm (top) and amax = 10 μm (bottom), for various wavelengths. For details, see Sects. 3.2.1 and 3.2.2.

Current usage metrics show cumulative count of Article Views (full-text article views including HTML views, PDF and ePub downloads, according to the available data) and Abstracts Views on Vision4Press platform.

Data correspond to usage on the plateform after 2015. The current usage metrics is available 48-96 hours after online publication and is updated daily on week days.

Initial download of the metrics may take a while.