Open Access

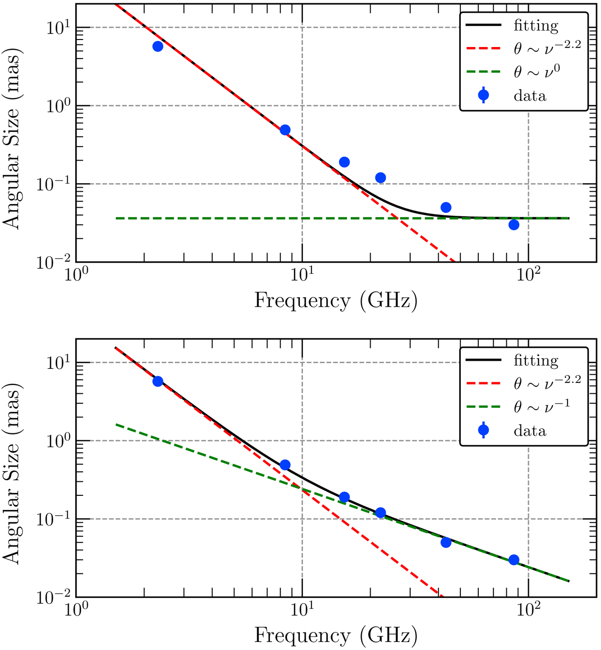
Fig. A.1.

image

Size–frequency relation for TXS 2013+370. Upper and lower panels: case for the power-law index k = 0 and k = −1, respectively. In both plots, blue circles with error bars show the measured source angular size, the solid lines indicate the best fit to the data, the red dashed line indicates the inferred scattering size, and the green dashed line indicates the inferred intrinsic size.

Current usage metrics show cumulative count of Article Views (full-text article views including HTML views, PDF and ePub downloads, according to the available data) and Abstracts Views on Vision4Press platform.

Data correspond to usage on the plateform after 2015. The current usage metrics is available 48-96 hours after online publication and is updated daily on week days.

Initial download of the metrics may take a while.