Open Access

Fig. 5

image

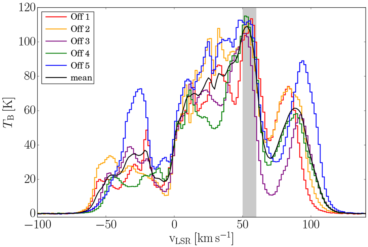
Selected H I emission spectra around the GMF38a, which can be used as “off-positions”. The regions we used for the extraction are shown in Fig. 1. The black line shows the mean spectrum of all five off-spectra and the gray shaded area indicates the velocity range of the HISA feature (vLSR = 50–60 km s−1).

Current usage metrics show cumulative count of Article Views (full-text article views including HTML views, PDF and ePub downloads, according to the available data) and Abstracts Views on Vision4Press platform.

Data correspond to usage on the plateform after 2015. The current usage metrics is available 48-96 hours after online publication and is updated daily on week days.

Initial download of the metrics may take a while.