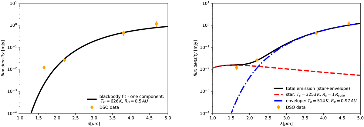
Fig. 12.

Blackbody SED model of the DSO/G2 infrared source. Left panel: one component blackbody fit with the parameters according to the legend. Measured flux densities are depicted as orange points with corresponding errorbars. Right panel: two-component blackbody fit (star+ dusty envelope). The black solid represents the total emission, while the red dashed line stands for the stellar emission and the blue dot-dashed line represents the dusty envelope emission with the parameters set according to the legend.
Current usage metrics show cumulative count of Article Views (full-text article views including HTML views, PDF and ePub downloads, according to the available data) and Abstracts Views on Vision4Press platform.
Data correspond to usage on the plateform after 2015. The current usage metrics is available 48-96 hours after online publication and is updated daily on week days.
Initial download of the metrics may take a while.