Open Access
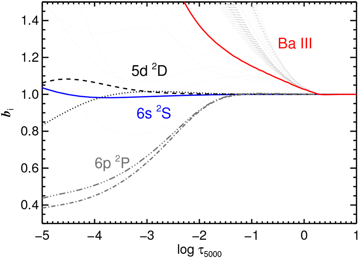
Fig. 3

Departure coefficients for the Ba II levels as a function of the continuum optical depth log τ5000 computed using the reference barium model atom for the solar MARCS model atmosphere.
Current usage metrics show cumulative count of Article Views (full-text article views including HTML views, PDF and ePub downloads, according to the available data) and Abstracts Views on Vision4Press platform.
Data correspond to usage on the plateform after 2015. The current usage metrics is available 48-96 hours after online publication and is updated daily on week days.
Initial download of the metrics may take a while.