Free Access
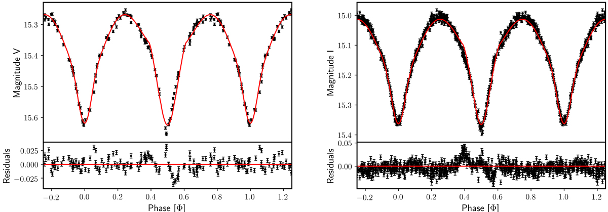
Fig. 1.

Left: V-band light curve of VFTS 061, phased to the best-fit model derived with PHOEBE. Right: same for the I-band light curve. Residuals of the fits are shown in the lower panels.
Current usage metrics show cumulative count of Article Views (full-text article views including HTML views, PDF and ePub downloads, according to the available data) and Abstracts Views on Vision4Press platform.
Data correspond to usage on the plateform after 2015. The current usage metrics is available 48-96 hours after online publication and is updated daily on week days.
Initial download of the metrics may take a while.