Free Access

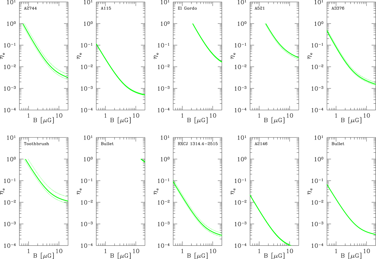
Fig. 9.

image

Same as Fig. 4 where now the green lines denote the case where the electron acceleration efficiency was computed adopting the Mach number measured in the X-rays (with its error bounds) and the central value of integrated spectral index measured in radio (cf. Table 3).

Current usage metrics show cumulative count of Article Views (full-text article views including HTML views, PDF and ePub downloads, according to the available data) and Abstracts Views on Vision4Press platform.

Data correspond to usage on the plateform after 2015. The current usage metrics is available 48-96 hours after online publication and is updated daily on week days.

Initial download of the metrics may take a while.