Free Access

Fig. 1

image

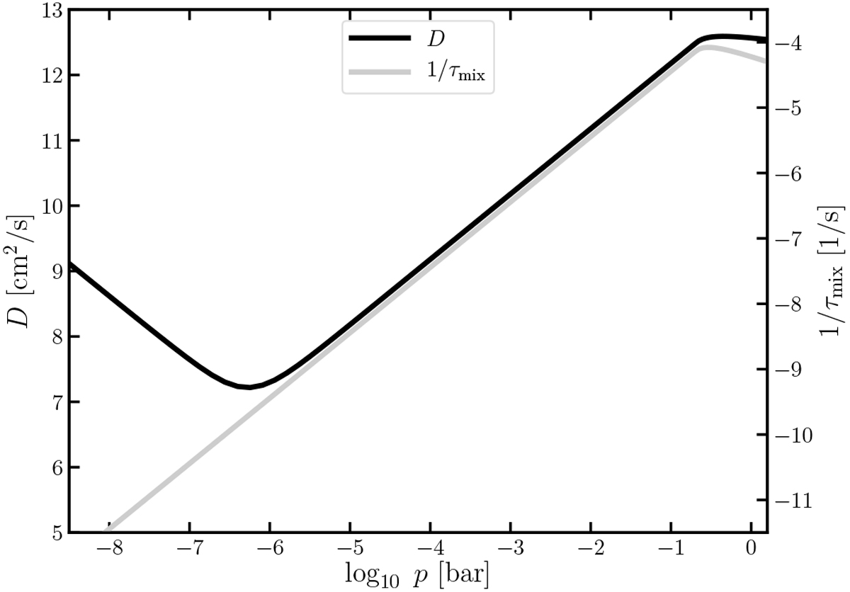
Gas diffusion coefficient Dgas (Eq. (19)) in the new DIFFUDRIFT model for a brown dwarf atmosphere model with Teff = 1800 K, log g =3 [cm s−2] and solar abundances. The grey line shows the inverse mixing timescale τmix as assumed in the previous DRIFT model. τmix is calculated according to Eq. (9) in Woitke & Helling (2004). Both quantities are computed for β = β′ = 1, and both y-axes show exactly eight orders of magnitude.

Current usage metrics show cumulative count of Article Views (full-text article views including HTML views, PDF and ePub downloads, according to the available data) and Abstracts Views on Vision4Press platform.

Data correspond to usage on the plateform after 2015. The current usage metrics is available 48-96 hours after online publication and is updated daily on week days.

Initial download of the metrics may take a while.