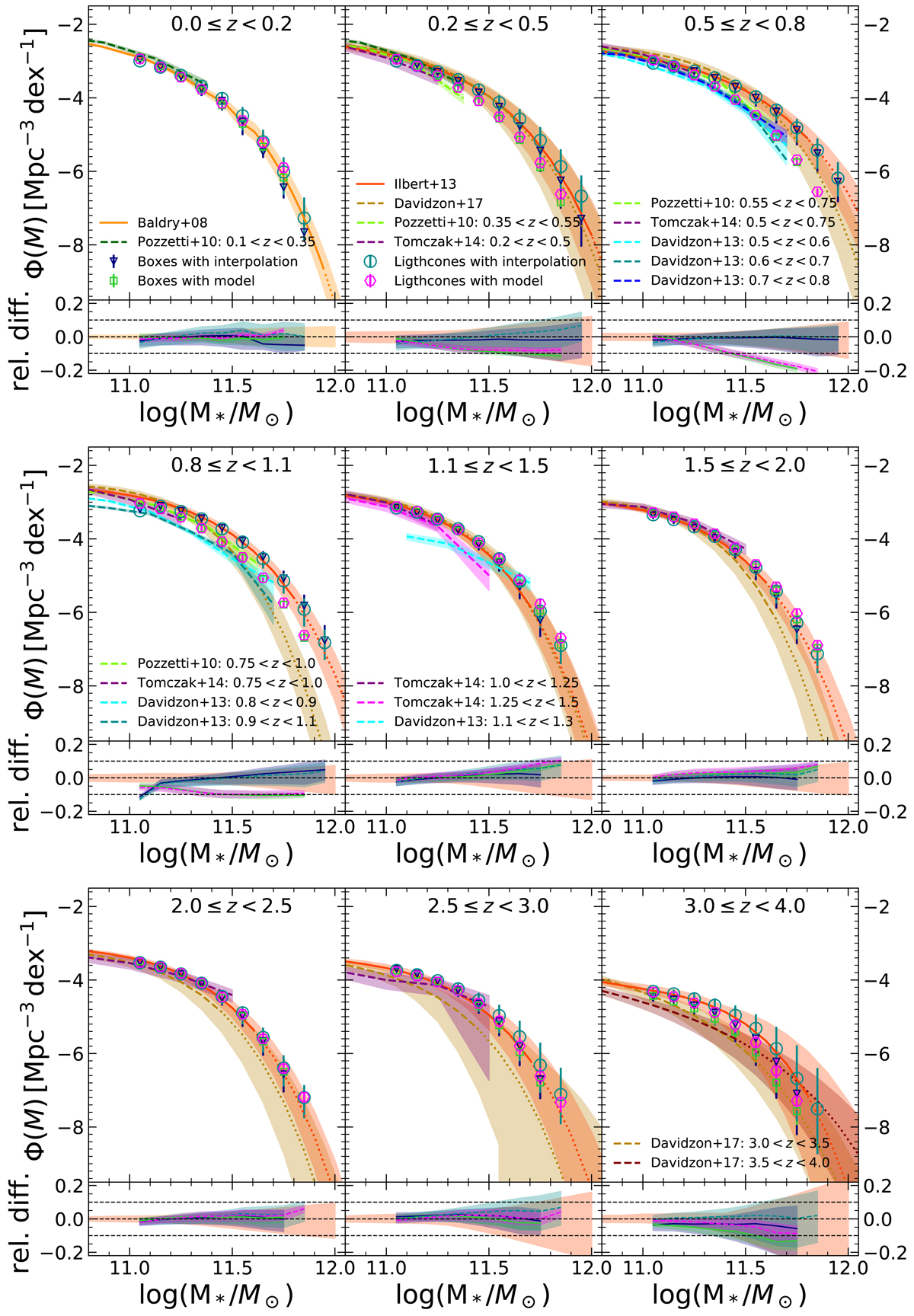
Fig. 14.

Differential SMFs in different redshift bins. Points represent the SMFs of the ΛCDM DUSTGRAIN-pathfinder simulation using the linear interpolation and our reference model without scatter in comoving boxes and in light cones. Solid lines (and associated shaded regions) are the SMFs we used to calibrate our relation (Ilbert et al. 2013; Baldry et al. 2008). With dashed lines (and shaded regions) we show other literature results by Pozzetti et al. (2010), Tomczak et al. (2014), and Davidzon et al. (2013, 2017). As a general rule, the stellar mass at which the plotted best-fit Schechter functions turn from a continuos or dashed to a dotted line identifies the mass of the most massive observed galaxy. Moreover, when the redshift bin from other literature results is different from what is indicated at the top of each panel, the exact redshift binning is indicated in the inserted labels. Otherwise, if the redshift bins coincide, we report the references of the SMFs only once in the labels. The bottom panels show the relative difference between the results on the ΛCDM DUSTGRAIN-pathfinder simulation and the SMFs with which we calibrated the relation.
Current usage metrics show cumulative count of Article Views (full-text article views including HTML views, PDF and ePub downloads, according to the available data) and Abstracts Views on Vision4Press platform.
Data correspond to usage on the plateform after 2015. The current usage metrics is available 48-96 hours after online publication and is updated daily on week days.
Initial download of the metrics may take a while.