Free Access
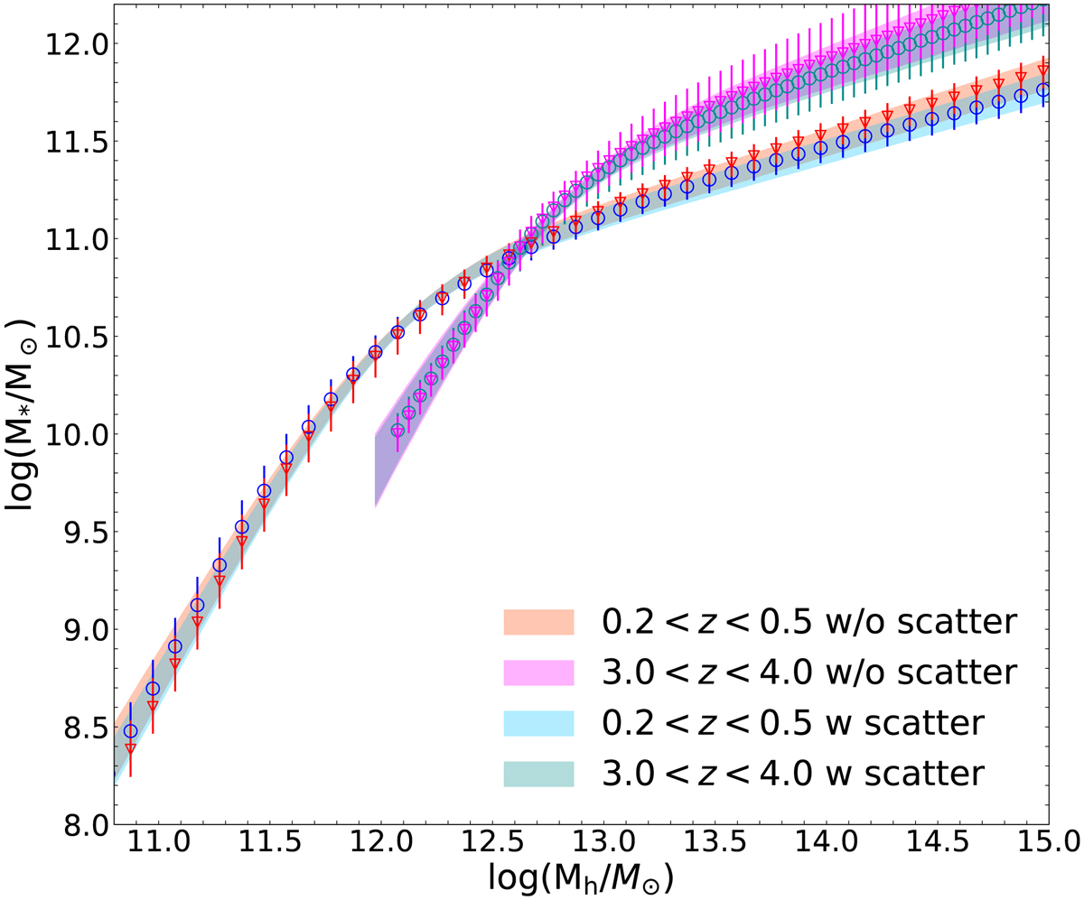
Fig. 5.

Comparison of the SHMR evaluated with or without the relative scatter in two different redshift bins. We show the points that represent the direct comparison of the CMFs and the 1σ confidence region of the best-fit using Eq. (6) with shaded regions.
Current usage metrics show cumulative count of Article Views (full-text article views including HTML views, PDF and ePub downloads, according to the available data) and Abstracts Views on Vision4Press platform.
Data correspond to usage on the plateform after 2015. The current usage metrics is available 48-96 hours after online publication and is updated daily on week days.
Initial download of the metrics may take a while.