Free Access
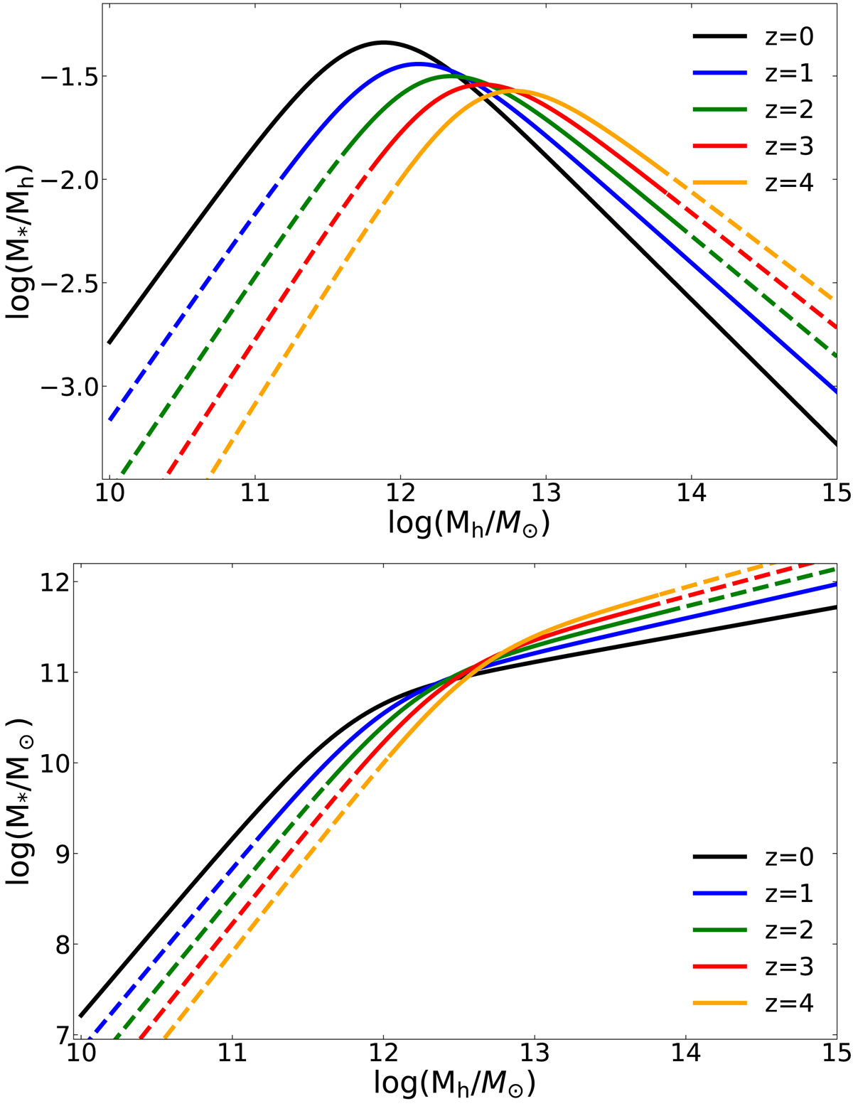
Fig. 8.

Best-fit model plotted in a log(M*/Mh)−log(Mh) plane (top panel) and in a log(M*)−log(Mh) plane (bottom panel) for the reference case without scatter at different redshifts. Solid lines indicate the stellar mass range in the observed SMF, and the dashed lines represent the extrapolation of the model.
Current usage metrics show cumulative count of Article Views (full-text article views including HTML views, PDF and ePub downloads, according to the available data) and Abstracts Views on Vision4Press platform.
Data correspond to usage on the plateform after 2015. The current usage metrics is available 48-96 hours after online publication and is updated daily on week days.
Initial download of the metrics may take a while.