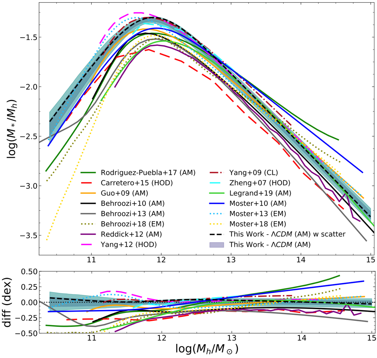
Fig. 9.

Best-fit SHMR compared to previous results at z ∼ 0. Dark and light shaded areas represent the 1 and 2σ errors, respectively, for our reference case without scatter at redshift 0 < z < 0.2. For the case with scatter, we show our results with a dashed black line without errors (which are comparable to errors of the case without scatter). The comparison includes results from abundance matching (AM; Behroozi et al. 2010, 2013; Moster et al. 2010; Rodríguez-Puebla et al. 2017), empirical modeling (EM; Moster et al. 2010, 2018; Behroozi et al. 2019), halo occupation distributions (HOD; Carretero et al. 2015; Yang et al. 2012; Zheng et al. 2007) and clusters selected from SDSS spectroscopic data (CL; Yang et al. 2009). In the bottom panel we show the logarithmic difference between our results and the other literature works. The shaded area represents our errors.
Current usage metrics show cumulative count of Article Views (full-text article views including HTML views, PDF and ePub downloads, according to the available data) and Abstracts Views on Vision4Press platform.
Data correspond to usage on the plateform after 2015. The current usage metrics is available 48-96 hours after online publication and is updated daily on week days.
Initial download of the metrics may take a while.