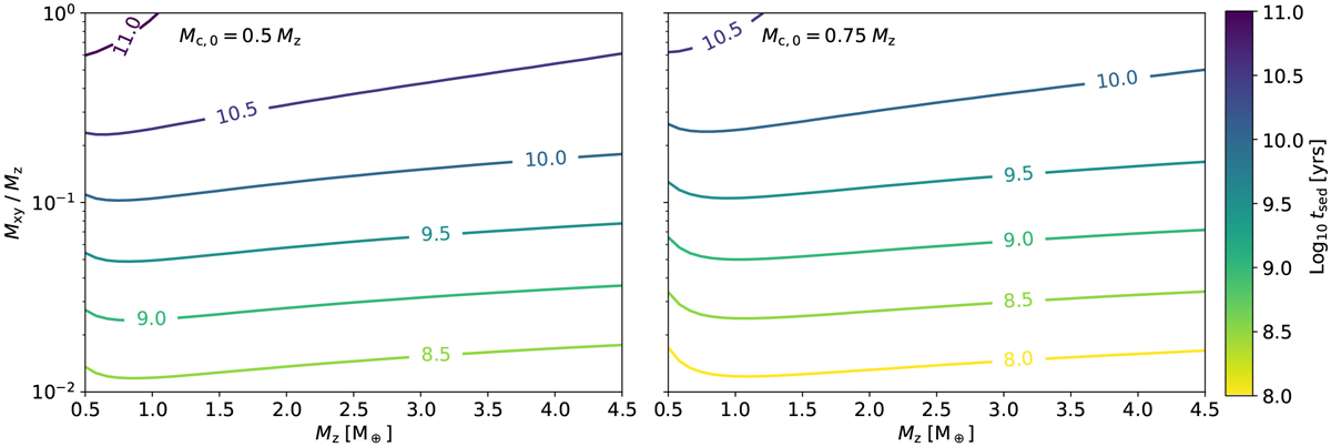
Fig. 10

Time tsed that planets are required spend in isolation in order to sediment all the vapor contained in their high-Z regions. The values correspond to a grain-free planet at 0.1 AU, calculated with our defeault parameters (see Table 1). The left and right panels assume initial core mass fractions of 0.5 and 0.75, respectively.
Current usage metrics show cumulative count of Article Views (full-text article views including HTML views, PDF and ePub downloads, according to the available data) and Abstracts Views on Vision4Press platform.
Data correspond to usage on the plateform after 2015. The current usage metrics is available 48-96 hours after online publication and is updated daily on week days.
Initial download of the metrics may take a while.