Free Access

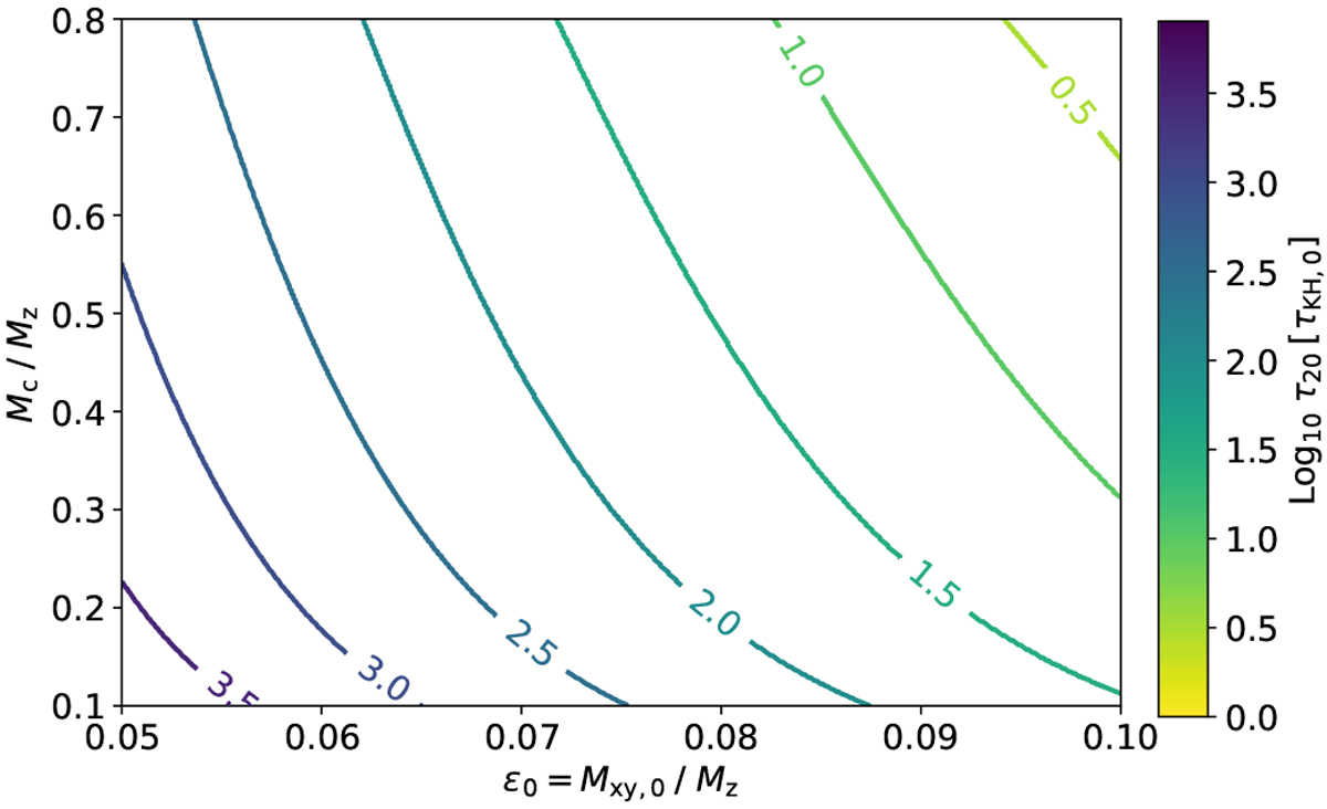
Fig. 8

image

Time τ20 (in τKH,0) required for polluted envelopes with initial hydrogen-helium mass fraction ɛ0 to accrete 20% nebular gas. The figure shows that heavily polluted planets accrete gas more slowly in terms of their Kelvin–Helmholtz timescales, but that the initial nebular gas fraction is the main determinant.

Current usage metrics show cumulative count of Article Views (full-text article views including HTML views, PDF and ePub downloads, according to the available data) and Abstracts Views on Vision4Press platform.

Data correspond to usage on the plateform after 2015. The current usage metrics is available 48-96 hours after online publication and is updated daily on week days.

Initial download of the metrics may take a while.