Free Access

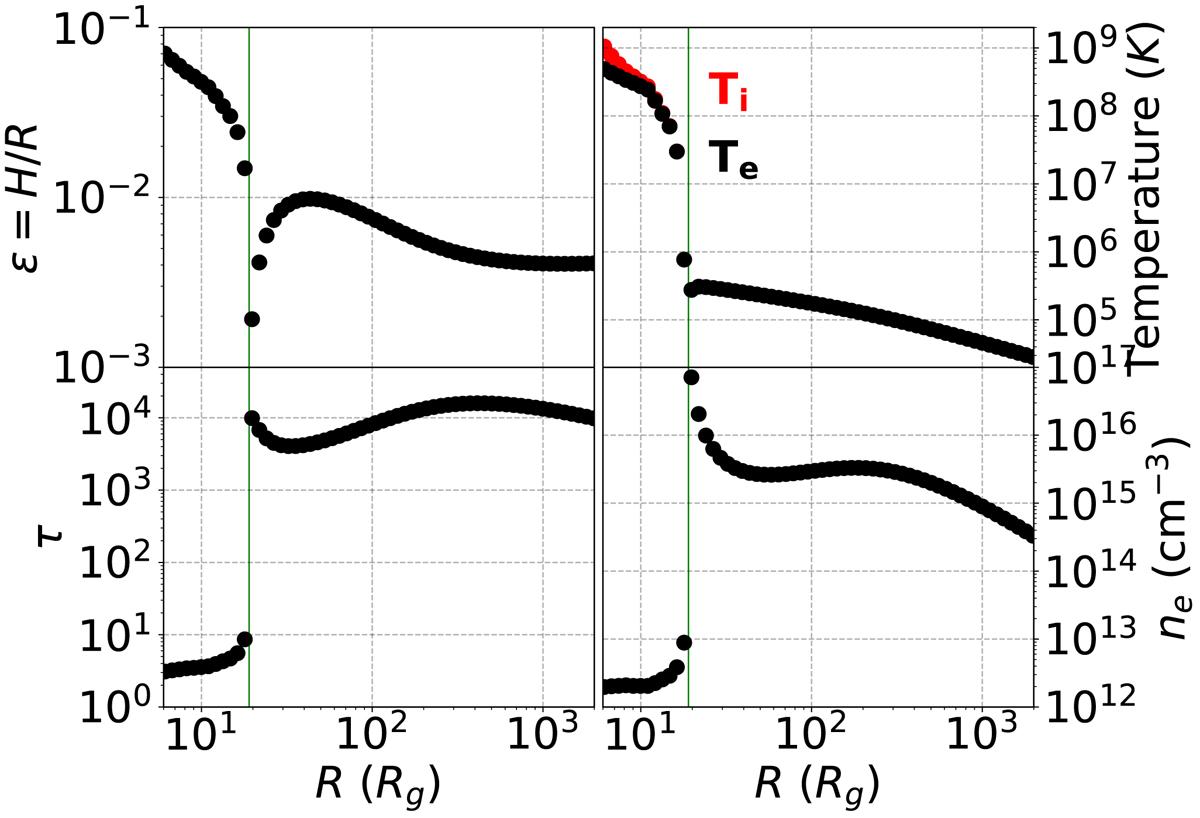
Fig. C.1.

image

SAD–JED physical structure as a function of the radius. A green vertical line marks the SAD–JED transition at rJ = 19. Top left: aspect ratio ε = h/r. Top right: electron temperature Te (black) and ion temperature Ti (red) in K. Bottom left: Thomson optical depth τT. Bottom right: electron–ion density ne = ni in cm−3.

Current usage metrics show cumulative count of Article Views (full-text article views including HTML views, PDF and ePub downloads, according to the available data) and Abstracts Views on Vision4Press platform.

Data correspond to usage on the plateform after 2015. The current usage metrics is available 48-96 hours after online publication and is updated daily on week days.

Initial download of the metrics may take a while.