Free Access
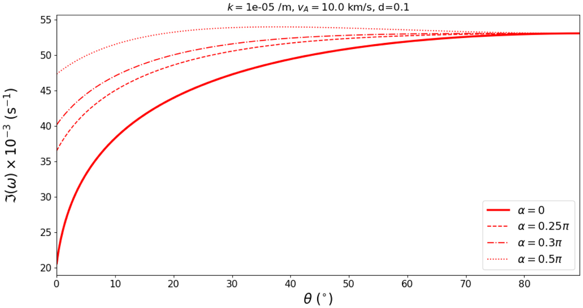
Fig. 3.

Imaginary part of the frequency for waves propagating in the (x, y) plane for several propagation directions with respect to the magnetic field inclination, θ. The density ratio is assumed to be d = 0.5, the reference Alfvén speed is vA1 = 10 km s−1, and the value of the wavenumber is fixed at k = 10−5 m−1.
Current usage metrics show cumulative count of Article Views (full-text article views including HTML views, PDF and ePub downloads, according to the available data) and Abstracts Views on Vision4Press platform.
Data correspond to usage on the plateform after 2015. The current usage metrics is available 48-96 hours after online publication and is updated daily on week days.
Initial download of the metrics may take a while.