Free Access
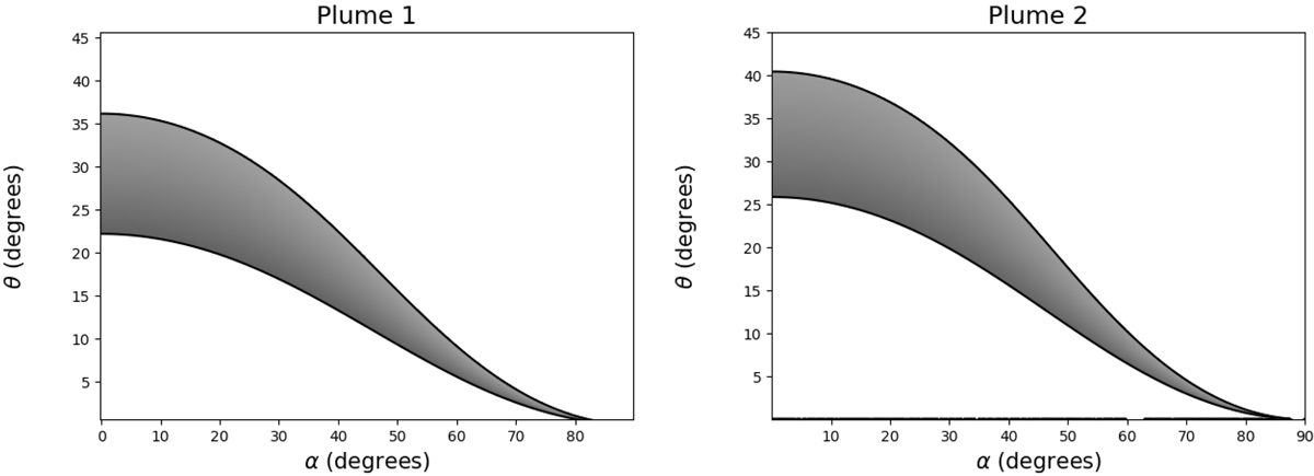
Fig. 7.

Solutions of the dispersion relation for a given growth time in terms of magnetic field inclination (θ) and propagation direction (α) for two observed prominence plumes. Observational data were taken from Mishra & Srivastava (2019).
Current usage metrics show cumulative count of Article Views (full-text article views including HTML views, PDF and ePub downloads, according to the available data) and Abstracts Views on Vision4Press platform.
Data correspond to usage on the plateform after 2015. The current usage metrics is available 48-96 hours after online publication and is updated daily on week days.
Initial download of the metrics may take a while.