Free Access

Fig. 10

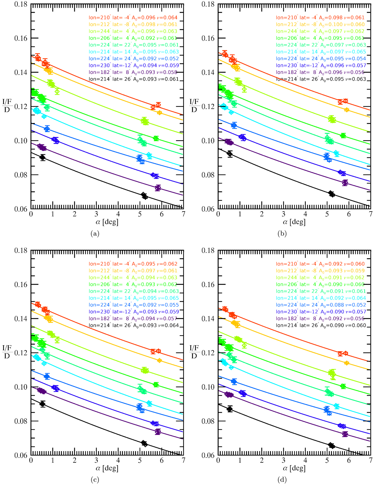
image

Examples of phase curves at different wavelengths (a: 0.465 μm; b: 0.550 μm; c: 0.749 μm; d: 0.900 μm) and different positions on the surface of Ceres as derived from OE data. Diamonds correspond to VIR observations and solid lines are fits obtained with Eq. (4). For each curve, the longitude and latitude of the corresponding position on the surface are indicated, along with the values of the fitted parameters. Curves are offset by 0.006 for clarity.

Current usage metrics show cumulative count of Article Views (full-text article views including HTML views, PDF and ePub downloads, according to the available data) and Abstracts Views on Vision4Press platform.

Data correspond to usage on the plateform after 2015. The current usage metrics is available 48-96 hours after online publication and is updated daily on week days.

Initial download of the metrics may take a while.