Free Access

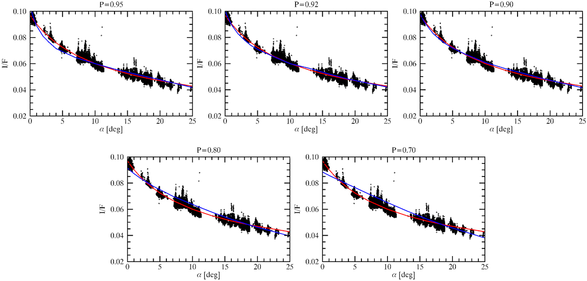
Fig. A.2

image

Best fit of Ceres’ phase curve with Monte Carlo simulations for terrains with different porosities P. In each plot, diamonds represent VIR data, the blue curve is from Monte Carlo simulations, and the red one is the output fromthe Hapke’ model with S2 parameters used as a reference for Ceres’ photometric behavior.

Current usage metrics show cumulative count of Article Views (full-text article views including HTML views, PDF and ePub downloads, according to the available data) and Abstracts Views on Vision4Press platform.

Data correspond to usage on the plateform after 2015. The current usage metrics is available 48-96 hours after online publication and is updated daily on week days.

Initial download of the metrics may take a while.