Free Access

Fig. 3

image

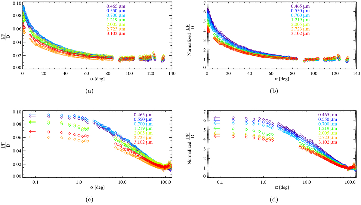
Phase curves for Ceres at different wavelengths (indicated in the plot): (a) absolute value; (b) after normalization; (c) and (d) same as (a) and (b) but with phase angle on logarithmic scale, respectively. In order to exploit the relative contribution in the back-scattering and forward-scattering lobes, the ideal phase angle with respect to which we normalize the phase curve would be α = 90°. Unfortunately, this phase angle is not covered in the investigated dataset. Similarly, the closest position for which observationsare provided, α = 91°, is affected bypoor statistics. Given this, the normalization in (b) and (d) was performed at α = 92°. Arrows in (c) and (d) represent the corresponding value for the 0° phase angle bin. Data are from Approach Phase, RC3, Transfer to Survey, Survey, and OE observations.

Current usage metrics show cumulative count of Article Views (full-text article views including HTML views, PDF and ePub downloads, according to the available data) and Abstracts Views on Vision4Press platform.

Data correspond to usage on the plateform after 2015. The current usage metrics is available 48-96 hours after online publication and is updated daily on week days.

Initial download of the metrics may take a while.